Официальное опубликование правовых актов
ОФИЦИАЛЬНОЕ ОПУБЛИКОВАНИЕ
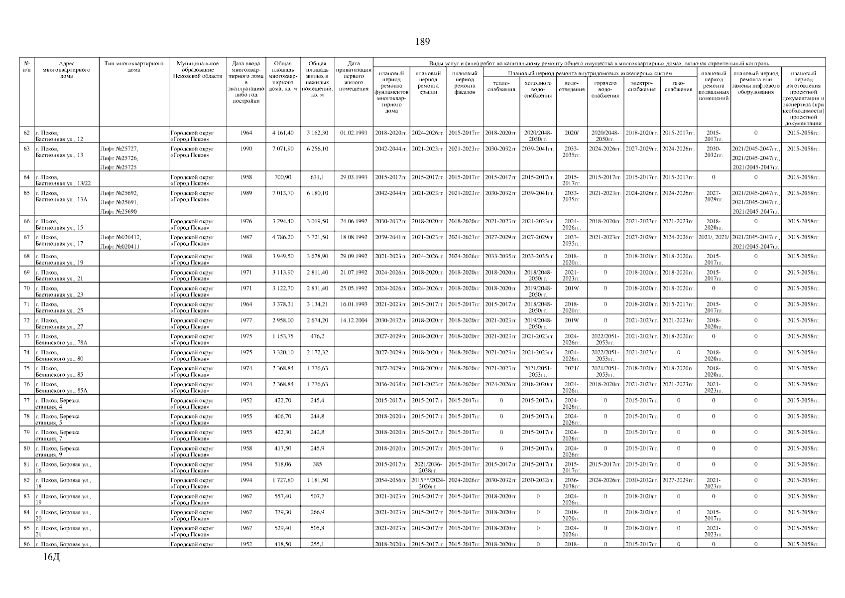
Постановление Правительства Псковской области от 04.02.2025 № 40
"О внесении изменения в Региональную программу капитального ремонта общего имущества в многоквартирных домах, расположенных на территории Псковской области, на 2014-2058 годы"
Номер опубликования: 6000202502060015
Дата опубликования: 06.02.2025
Страница №190 из 312:
Увеличить