Официальное опубликование правовых актов
ОФИЦИАЛЬНОЕ ОПУБЛИКОВАНИЕ
Постановление Псковского областного Собрания депутатов от 27.02.2025 № 981
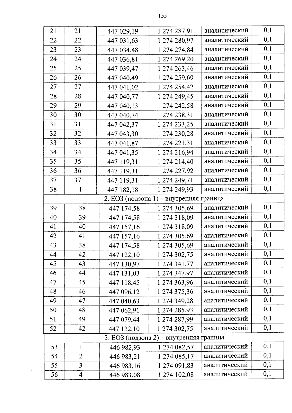
"О границах объединенной зоны охраны объектов культурного наследия федерального и регионального значения, расположенных в городе Острове, и требованиях к градостроительным регламентам в границах данной зоны"
Номер опубликования: 6000202502280001
Дата опубликования: 28.02.2025
Страница №158 из 223:
Увеличить