Официальное опубликование правовых актов
ОФИЦИАЛЬНОЕ ОПУБЛИКОВАНИЕ
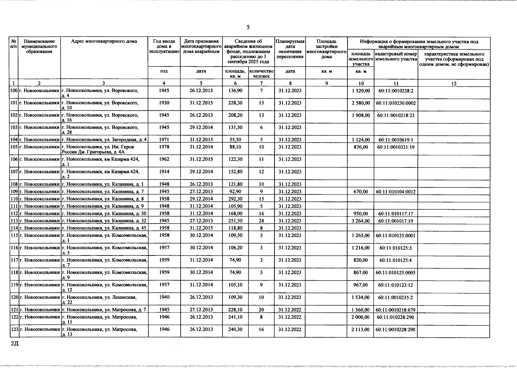
Постановление Правительства Псковской области от 15.01.2026 № 7
"О внесении изменений в областную адресную программу "Переселение граждан из аварийного жилищного фонда в 2019 - 2025 годах"
Номер опубликования: 6000202601190001
Дата опубликования: 19.01.2026
Страница №12 из 23:
Увеличить