Официальное опубликование правовых актов
ОФИЦИАЛЬНОЕ ОПУБЛИКОВАНИЕ
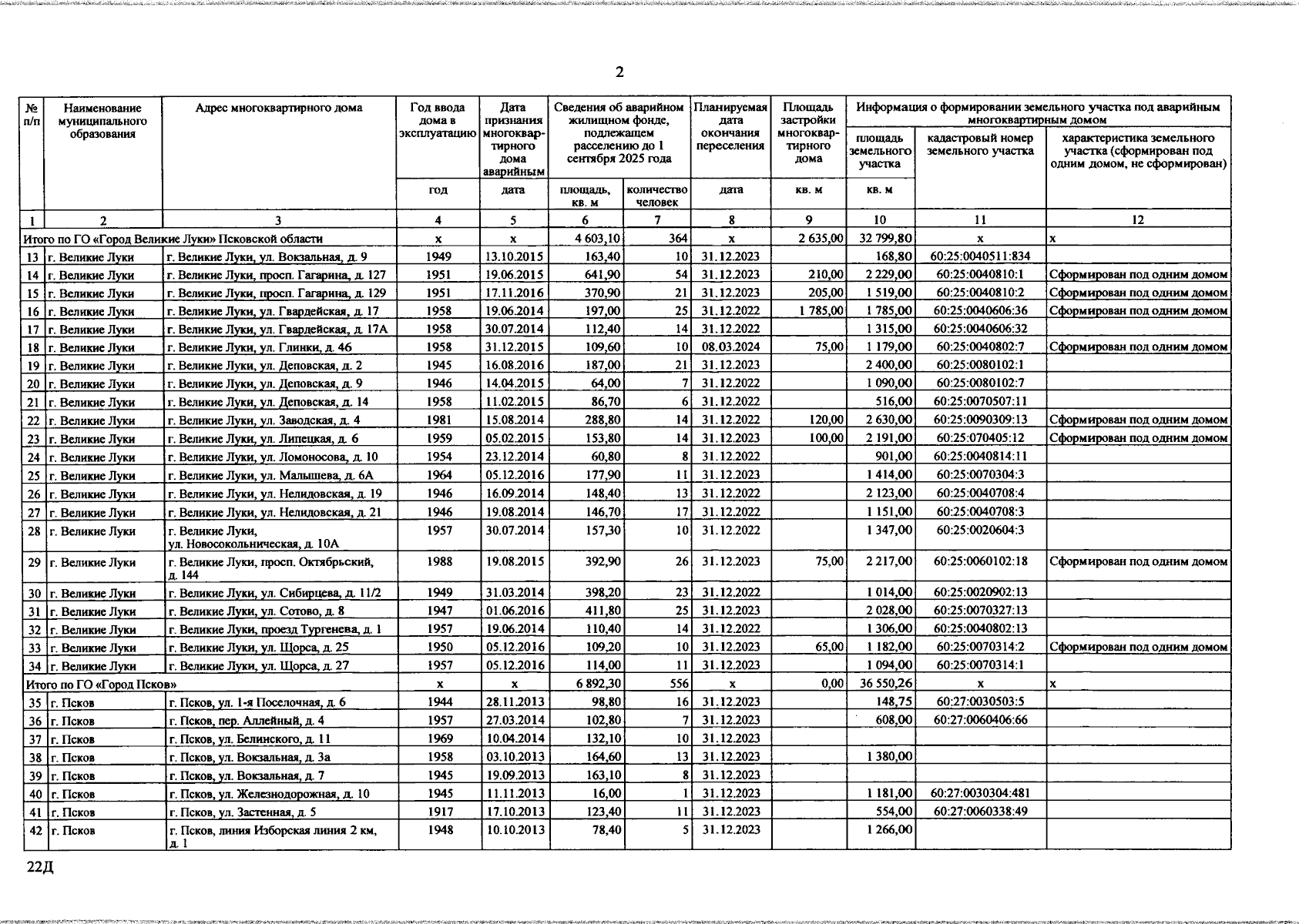
Постановление Правительства Псковской области от 27.01.2026 № 19
"О внесении изменений в областную адресную программу "Переселение граждан из аварийного жилищного фонда в 2019 - 2025 годах"
Номер опубликования: 6000202602010001
Дата опубликования: 01.02.2026
Страница №4 из 13:
Увеличить