Официальное опубликование правовых актов
ОФИЦИАЛЬНОЕ ОПУБЛИКОВАНИЕ
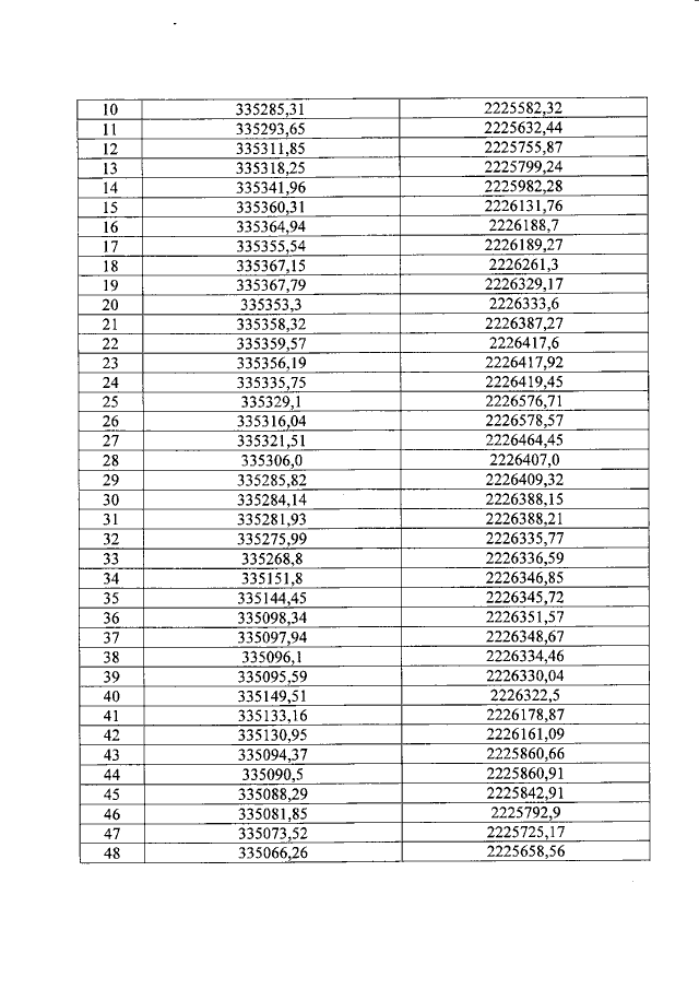
Приказ Государственного комитета Псковской области по охране объектов культурного наследия от 23.05.2018 № 153 "Об утверждении границы территории объекта культурного наследия регионального значения "Локомотивно-ремонтный завод – центр революционных выступлений рабочих в 1905 г.", 1902 г., 1905 г., расположенного по адресу: Псковская область, г. Великие Луки, ул. Малышева, 11"
Номер опубликования: 6001201805280005
Дата опубликования: 28.05.2018
Страница №6 из 8:
Увеличить