Официальное опубликование правовых актов
ОФИЦИАЛЬНОЕ ОПУБЛИКОВАНИЕ
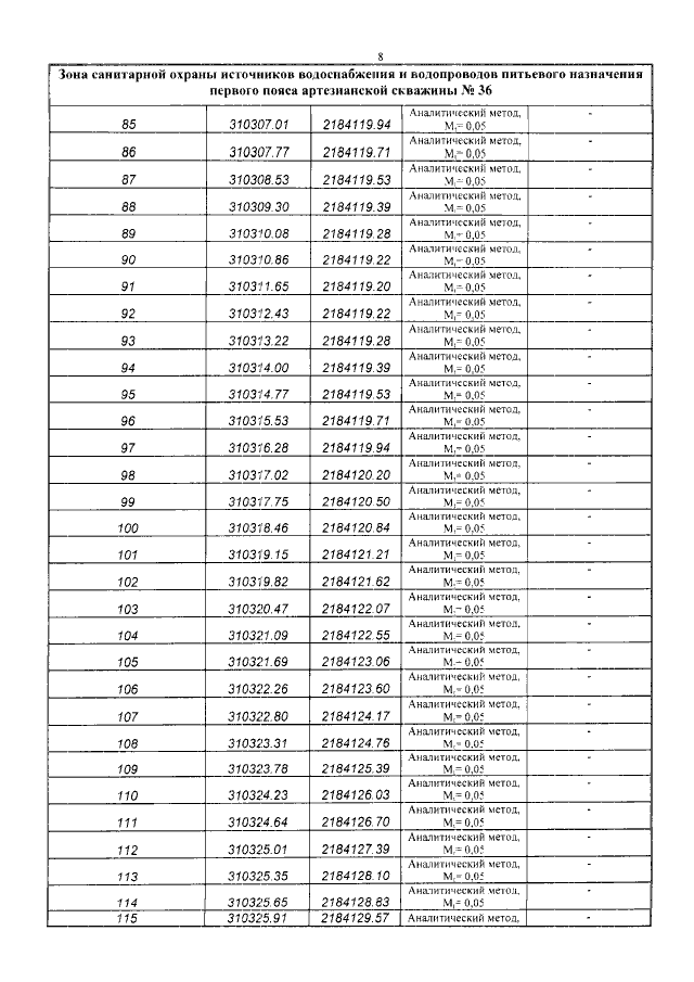
Приказ Комитета по природным ресурсам и экологии Псковской области от 10.09.2019 № 626
"Об установлении зон санитарной охраны источника питьевого и хозяйственно бытового водоснабжения"
Номер опубликования: 6001201909130006
Дата опубликования: 13.09.2019
Страница №10 из 25:
Увеличить