Официальное опубликование правовых актов
ОФИЦИАЛЬНОЕ ОПУБЛИКОВАНИЕ
Приказ Комитета по охране объектов культурного наследия Псковской области от 24.12.2019 № 538
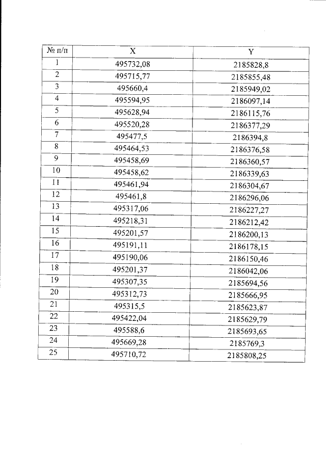
"Об утверждении границы территории объекта культурного наследия регионального значения "Усадебный парк", вторая половина XIX в. – начало XX в., расположенного по адресу: Псковская область, Дновский район, Искровская волость, д. Искра"
Номер опубликования: 6001201912310012
Дата опубликования: 31.12.2019
Страница №5 из 8:
Увеличить