Официальное опубликование правовых актов
ОФИЦИАЛЬНОЕ ОПУБЛИКОВАНИЕ
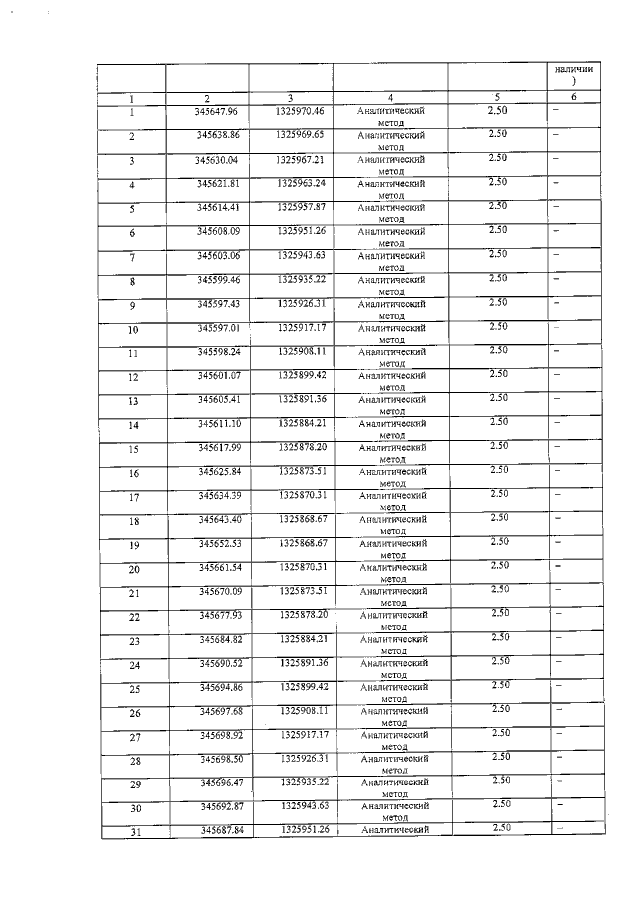
Приказ Комитета по природным ресурсам и экологии Псковской области от 10.08.2022 № 450
"О внесении изменений в приложение к приказу Комитета по природным ресурсам и экологии Псковской области от 13.06.2019 № 422 "Об установлении зон санитарной охраны источника питьевого и хозяйственно-бытового водоснабжения"
Номер опубликования: 6001202208160005
Дата опубликования: 16.08.2022
Страница №3 из 6:
Увеличить