Официальное опубликование правовых актов
ОФИЦИАЛЬНОЕ ОПУБЛИКОВАНИЕ
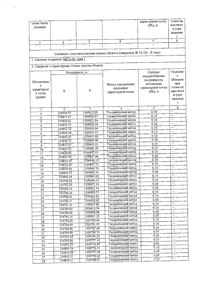
Приказ Комитета по природным ресурсам и экологии Псковской области от 09.09.2022 № 503
"О внесении изменений в приложение к приказу Комитета по природным ресурсам и экологии Псковской области от 10.06.2019 № 413 "Об установлении зон санитарной охраны источника питьевого и хозяйственно-бытового водоснабжения"
Номер опубликования: 6001202209160001
Дата опубликования: 16.09.2022
Страница №7 из 16:
Увеличить