Официальное опубликование правовых актов
ОФИЦИАЛЬНОЕ ОПУБЛИКОВАНИЕ
Приказ Комитета по тарифам и энергетике Псковской области от 06.03.2023 № 9-т
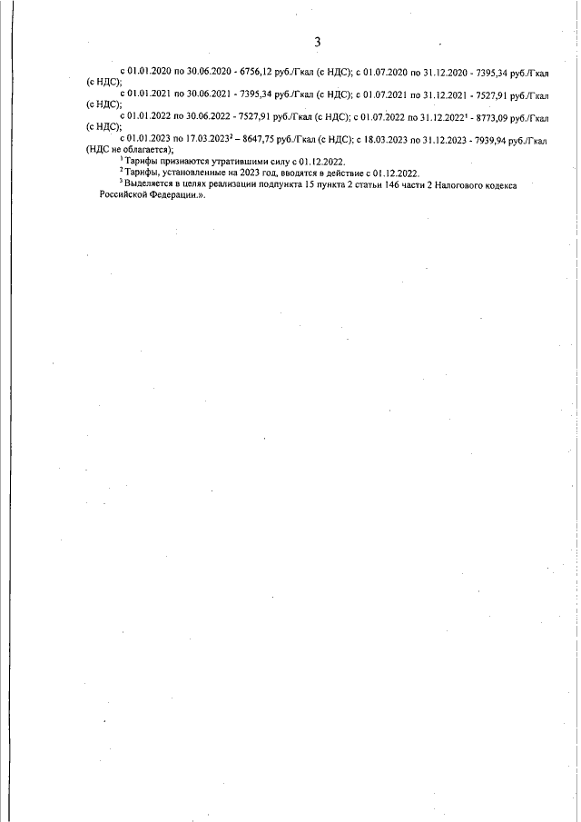
"О внесении изменений в приказ Государственного комитета Псковской области по тарифам и энергетике от 28.11.2018 № 107-т "Об установлении тарифов на тепловую энергию (мощность), поставляемую теплоснабжающей организацией потребителям, на 2019-2023 годы"
(Зарегистрирован 06.03.2023 № 80)
Номер опубликования: 6001202303090004
Дата опубликования: 09.03.2023
Страница №7 из 7:
Увеличить