Официальное опубликование правовых актов
ОФИЦИАЛЬНОЕ ОПУБЛИКОВАНИЕ
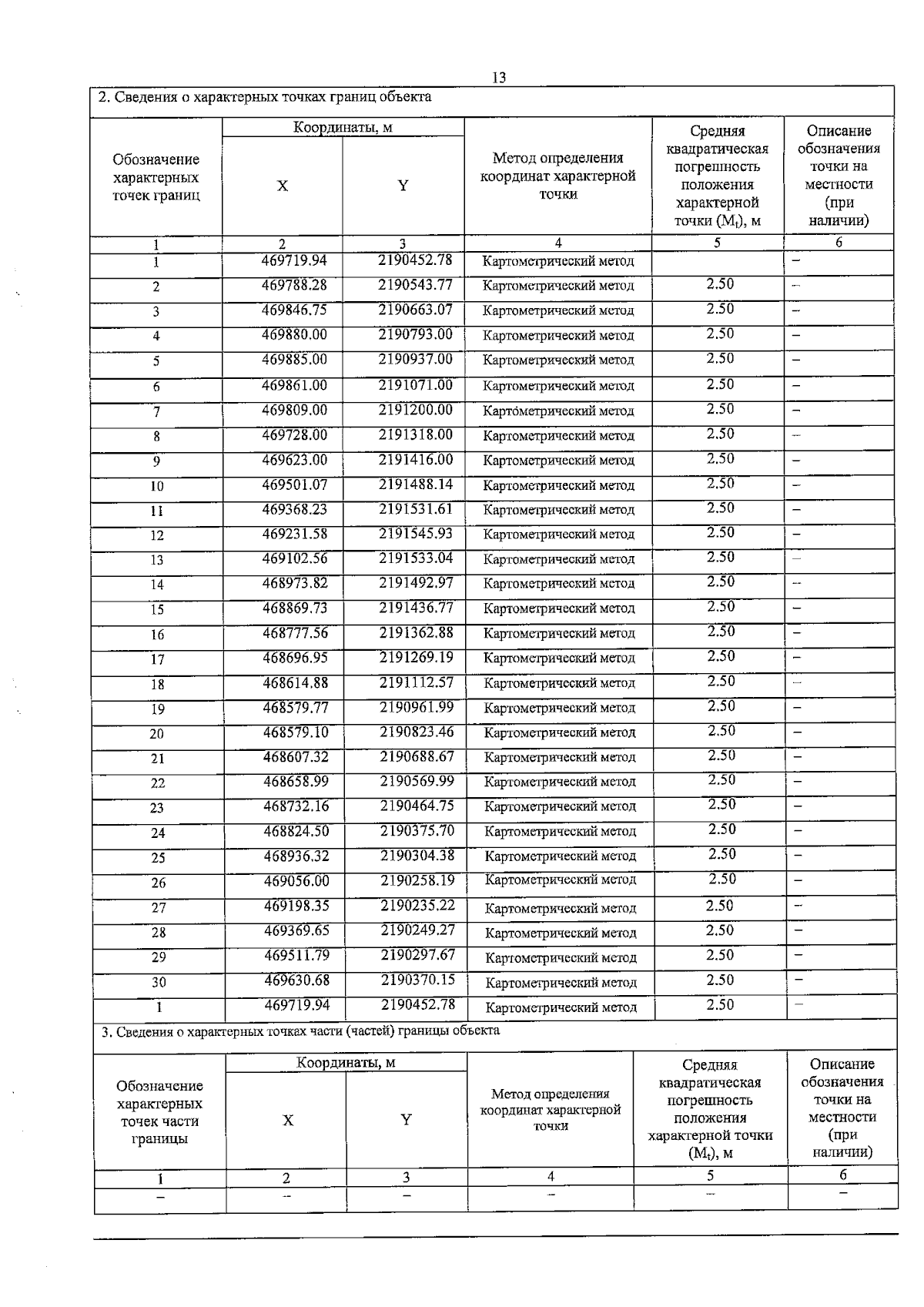
Приказ Комитета по природным ресурсам и экологии Псковской области от 09.10.2023 № 464
"Об установлении зон санитарной охраны источника питьевого и хозяйственно-бытового водоснабжения"
(Зарегистрирован 11.10.2023 № 494)
Номер опубликования: 6001202310170001
Дата опубликования: 17.10.2023
Страница №15 из 24:
Увеличить