Официальное опубликование правовых актов
ОФИЦИАЛЬНОЕ ОПУБЛИКОВАНИЕ
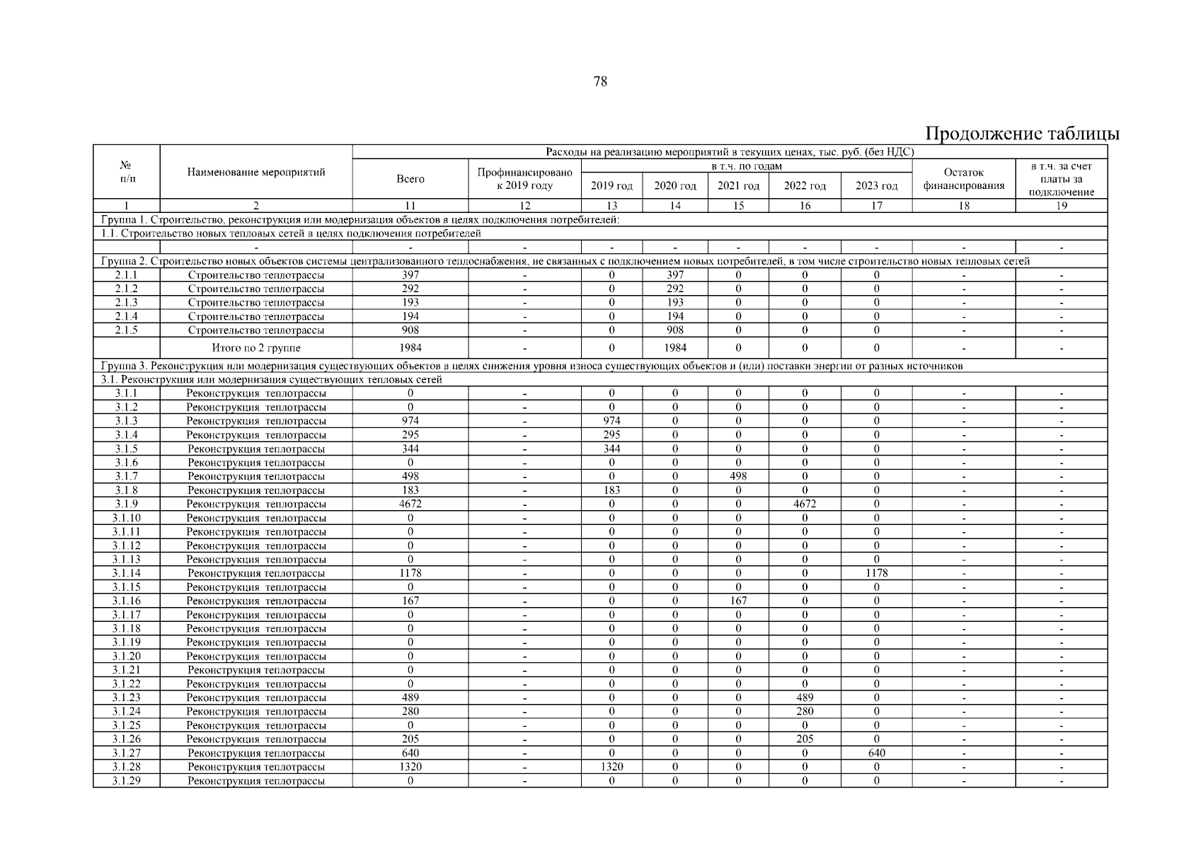
Приказ Комитета по тарифам и энергетике Псковской области от 17.10.2023 № 52
"О внесении изменения в инвестиционную программу муниципального предприятия г. Пскова "Псковские тепловые сети", осуществляющего регулируемые виды деятельности в сфере теплоснабжения, на 2019 - 2023 годы"
(Зарегистрирован 18.10.2023 № 505)
Номер опубликования: 6001202310190001
Дата опубликования: 19.10.2023
Страница №80 из 197:
Увеличить