Официальное опубликование правовых актов
ОФИЦИАЛЬНОЕ ОПУБЛИКОВАНИЕ
Приказ Комитета по управлению государственным имуществом Псковской области от 25.12.2023 № 7954
"О внесении изменений в Правила землепользования и застройки сельского поселения "Церковищенская волость" Усвятского района Псковской области"
(Зарегистрирован 26.12.2023 № 822)
Номер опубликования: 6001202312270002
Дата опубликования: 27.12.2023
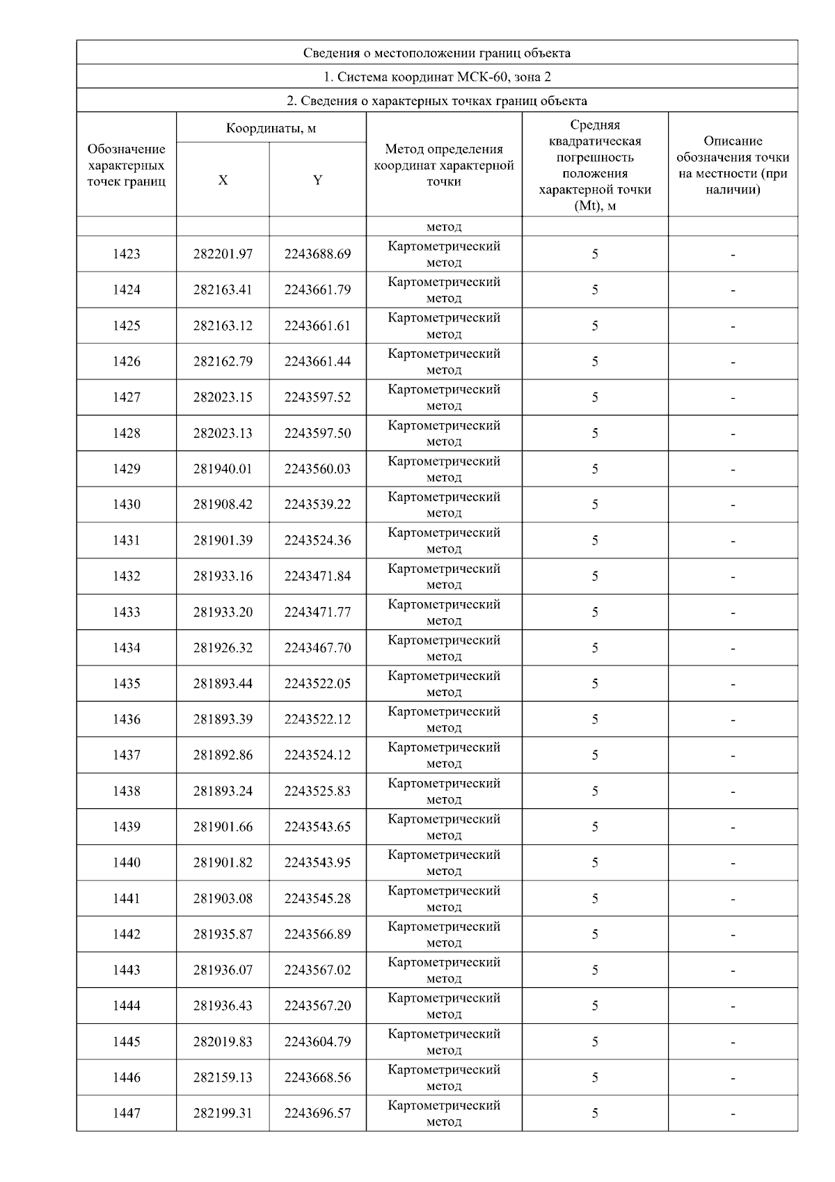
Страница №156 из 447:
Увеличить