Официальное опубликование правовых актов
ОФИЦИАЛЬНОЕ ОПУБЛИКОВАНИЕ
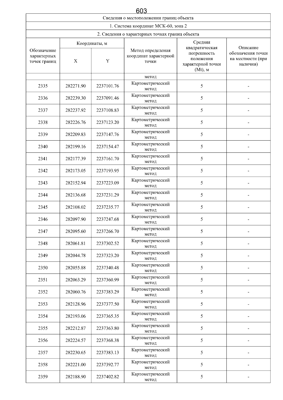
Приказ Комитета по управлению государственным имуществом Псковской области от 26.12.2023 № 7991
"О внесении изменений в Правила землепользования и застройки сельского поселения "Усвятская волость" Усвятского района Псковской области"
(Зарегистрирован 27.12.2023 № 825)
Номер опубликования: 6001202312290002
Дата опубликования: 29.12.2023
Страница №706 из 938:
Увеличить