Официальное опубликование правовых актов
ОФИЦИАЛЬНОЕ ОПУБЛИКОВАНИЕ
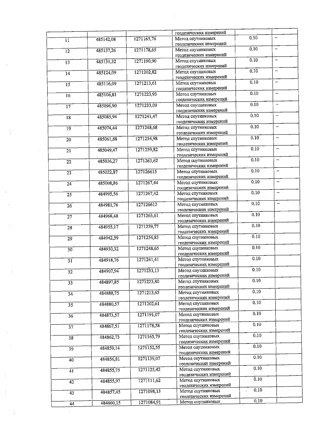
Приказ Комитета по природным ресурсам и экологии Псковской области от 16.10.2024 № 536
"О внесении изменений в приказ Государственного комитета Псковской области по природопользованию и охране окружающей среды от 17.06.2016 № 530 "Об утверждении Проекта зон санитарной охраны скважин на воду для водоснабжения объектов ООО "ПсковАгроИнвест", расположенных в Псковском районе Псковской области"
(Зарегистрирован 17.10.2024 № 1329)
Номер опубликования: 6001202410230018
Дата опубликования: 23.10.2024
Страница №23 из 68:
Увеличить