Официальное опубликование правовых актов
ОФИЦИАЛЬНОЕ ОПУБЛИКОВАНИЕ
Приказ Комитета по тарифам и энергетике Псковской области от 18.12.2024 № 296-в
"О внесении изменений в приказ Комитета по тарифам и энергетике Псковской области от 20.12.2023 № 248-в "Об утверждении производственных программ, установлении долгосрочных параметров регулирования и тарифов в сфере холодного водоснабжения и водоотведения для муниципального предприятия г. Пскова "Горводоканал" на 2024 - 2028 годы"
(Зарегистрирован 19.12.2024 № 1592)
Номер опубликования: 6001202412190009
Дата опубликования: 19.12.2024
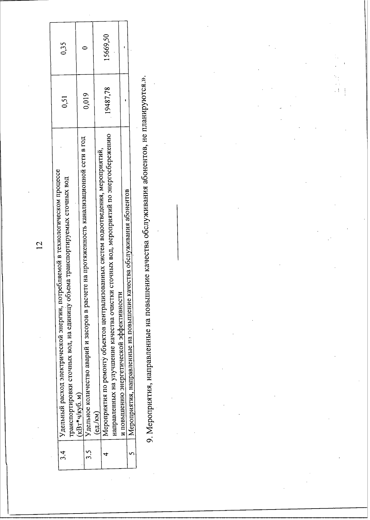
Страница №14 из 20:
Увеличить