Официальное опубликование правовых актов
ОФИЦИАЛЬНОЕ ОПУБЛИКОВАНИЕ
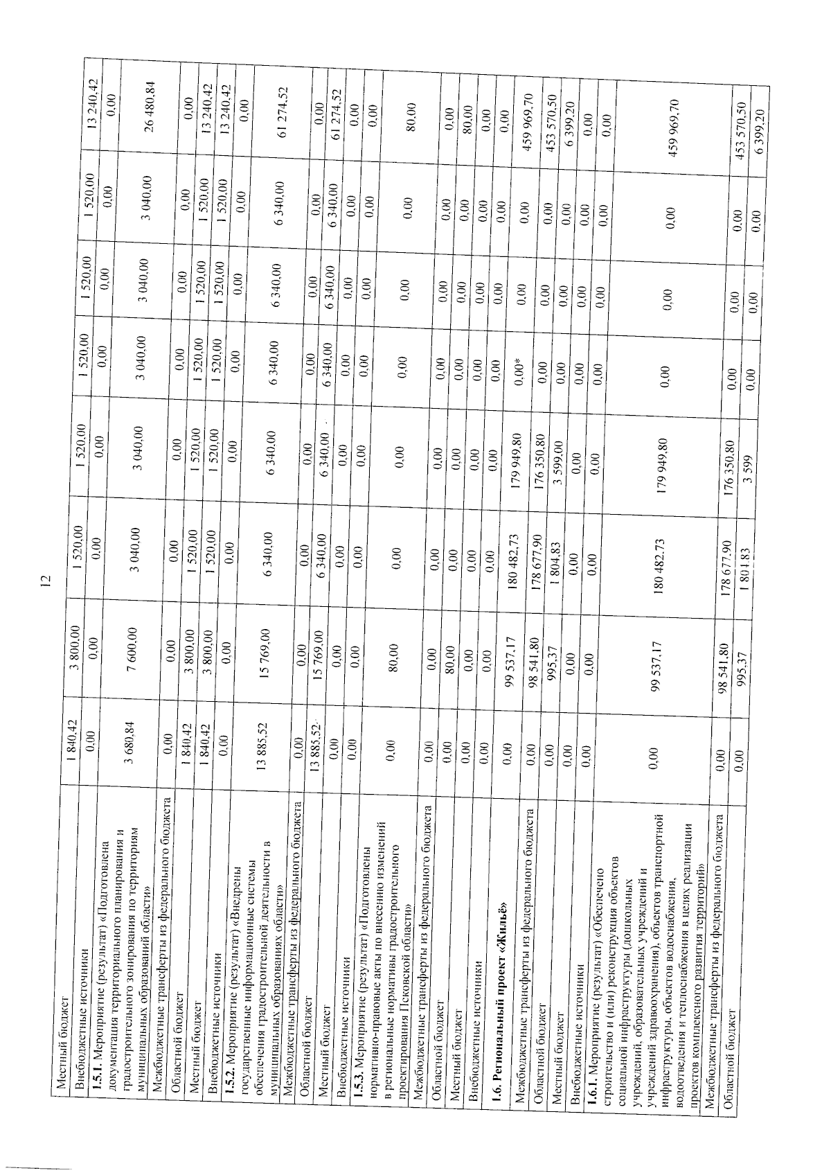
Приказ Министерства строительства и жилищно-коммунального хозяйства Псковской области от 10.07.2025 № 8-ОД
"О внесении изменений в детальный паспорт государственной программы Псковской области "Обеспечение населения области доступным и комфортным жильем"
(Зарегистрирован 10.07.2025 № 2225)
Номер опубликования: 6001202507160002
Дата опубликования: 16.07.2025
Страница №12 из 26:
Увеличить