Приказ Министерства тарифов и энергетики Псковской области от 13.08.2025 № 8
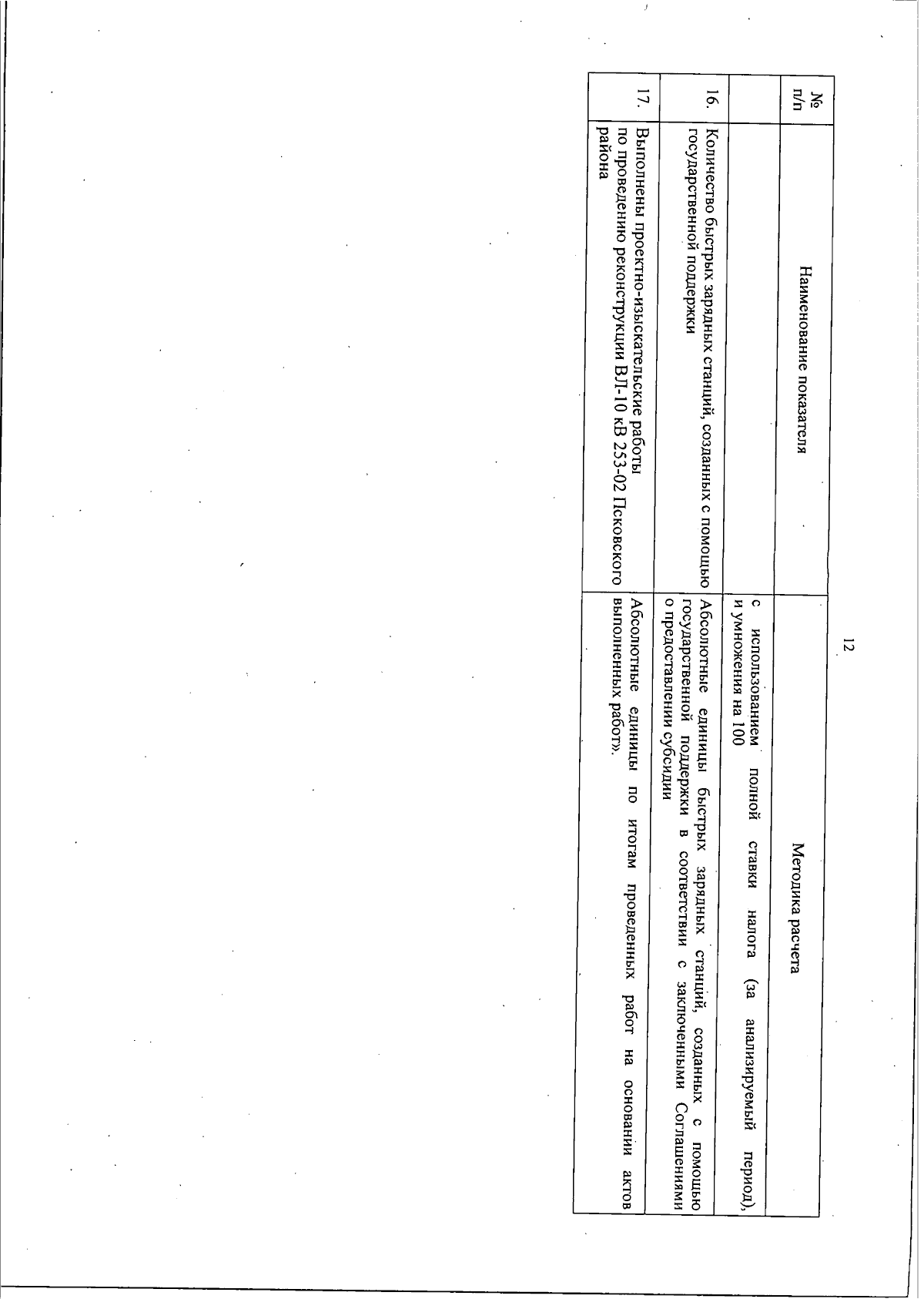
"О внесении изменений в приказ Комитета по тарифам и энергетике Псковской области от 15.12.2023 № 79 "Об утверждении детального паспорта государственной программы Псковской области "Развитие энергетики"
(Зарегистрирован 14.08.2025 № 2286)
"О внесении изменений в приказ Комитета по тарифам и энергетике Псковской области от 15.12.2023 № 79 "Об утверждении детального паспорта государственной программы Псковской области "Развитие энергетики"
(Зарегистрирован 14.08.2025 № 2286)
Номер опубликования: 6001202508190006
Дата опубликования:
19.08.2025
