Официальное опубликование правовых актов
ОФИЦИАЛЬНОЕ ОПУБЛИКОВАНИЕ
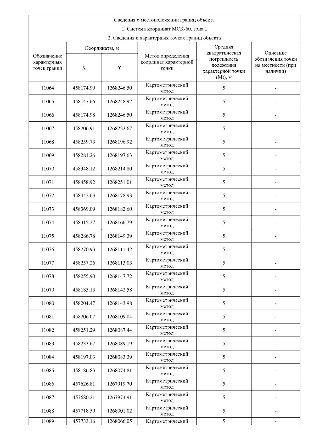
Приказ Министерства имущественных отношений Псковской области от 29.08.2025 № 1547
"О внесении изменений в Правила землепользования и застройки сельского поселения "Новоуситовская волость" Палкинского района Псковской области"
(Зарегистрирован 29.08.2025 № 2319)
Номер опубликования: 6001202509030006
Дата опубликования: 03.09.2025
Страница №972 из 999:
Увеличить