Официальное опубликование правовых актов
ОФИЦИАЛЬНОЕ ОПУБЛИКОВАНИЕ
Приказ Министерства имущественных отношений Псковской области от 15.09.2025 № 1922
"О внесении изменений в Правила землепользования и застройки сельского поселения "Самолвовская волость" Гдовского района Псковской области"
(Зарегистрирован 15.09.2025 № 2351)
Номер опубликования: 6001202509220003
Дата опубликования: 22.09.2025
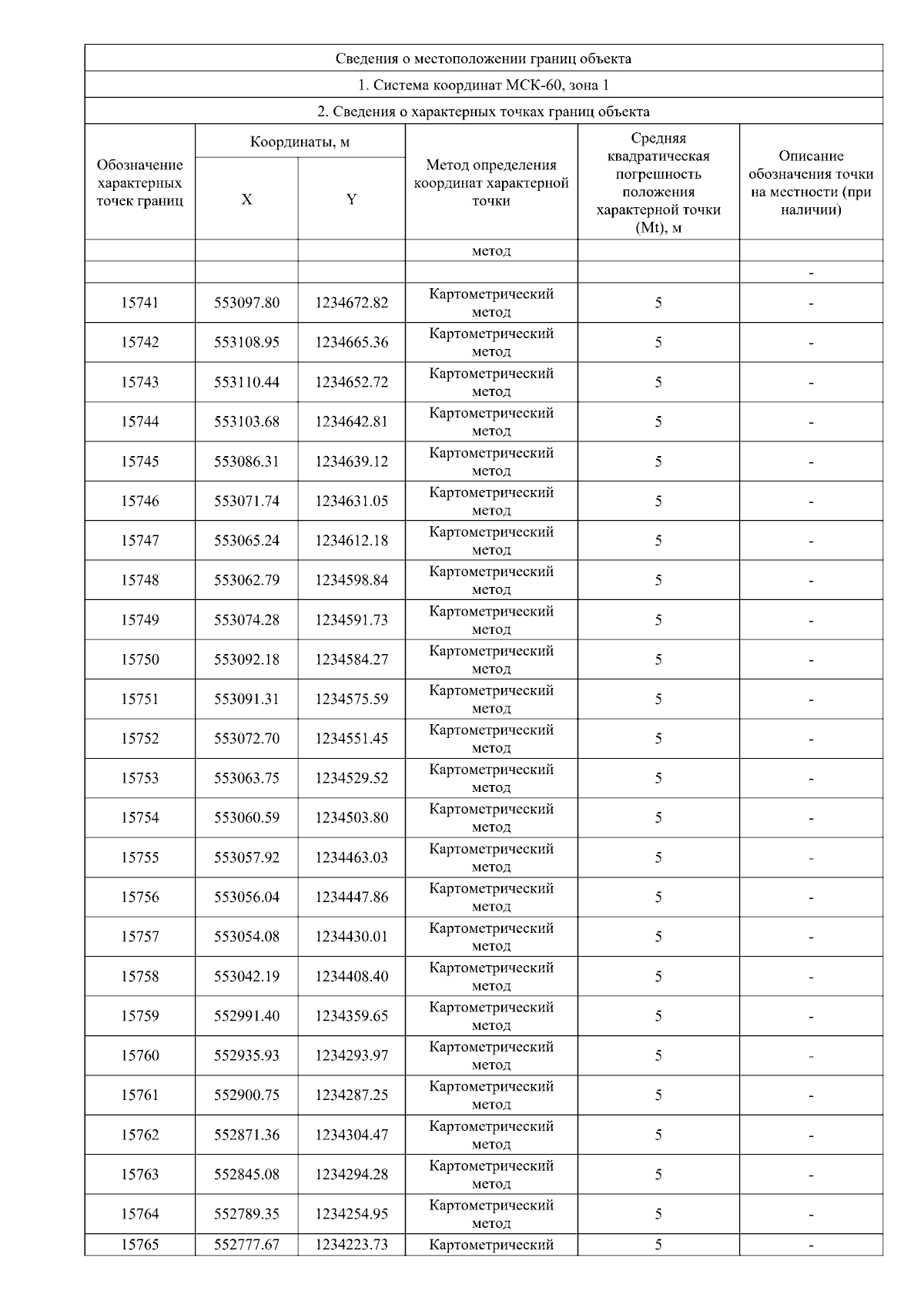
Страница №959 из 1131:
Увеличить