Официальное опубликование правовых актов
ОФИЦИАЛЬНОЕ ОПУБЛИКОВАНИЕ
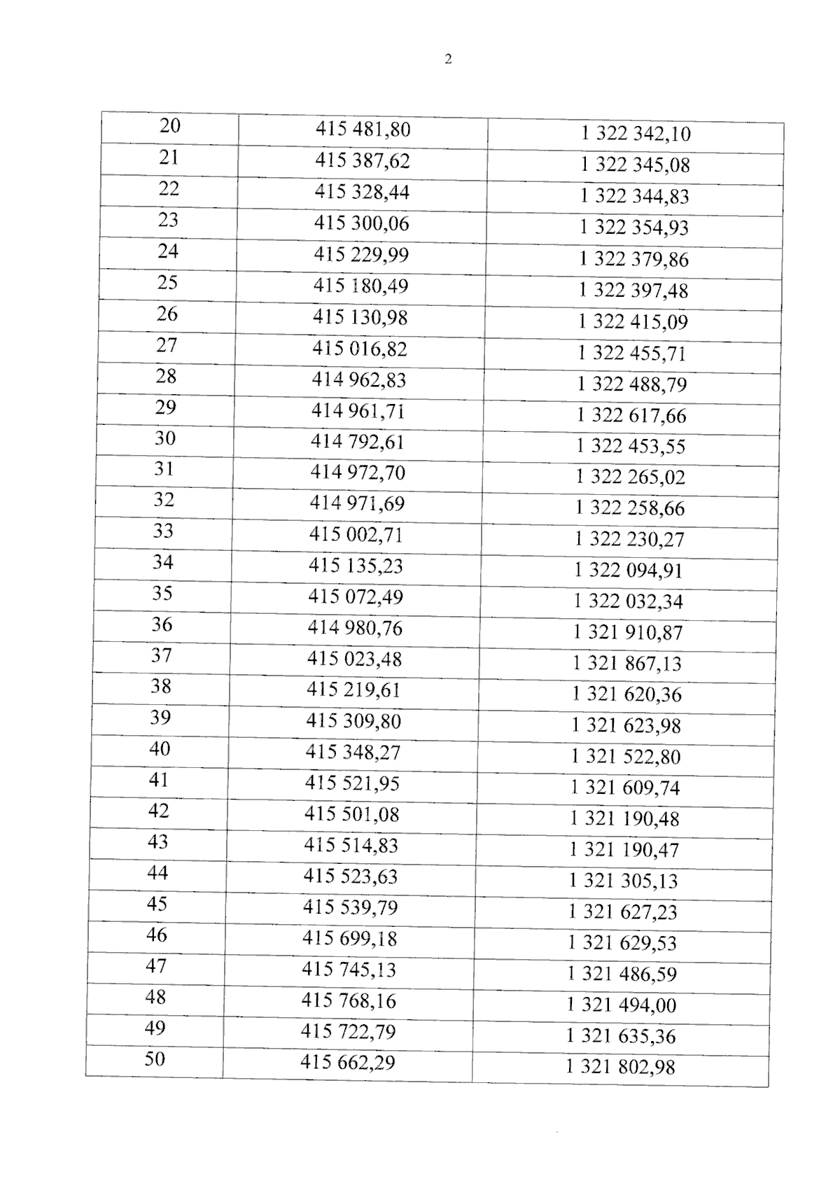
Приказ Министерства культурного наследия Псковской области от 30.09.2025 № 166-ОД
"Об утверждении границ территории объекта культурного наследия регионального значения "Усадебный парк", первая половина и конец XIX в., расположенного по адресу: Псковская область, Новоржевский район, Вехнянская волость, д. Алтун"
(Зарегистрирован 30.09.2025 № 2370)
Номер опубликования: 6001202510070003
Дата опубликования: 07.10.2025
Страница №9 из 15:
Увеличить