Официальное опубликование правовых актов
ОФИЦИАЛЬНОЕ ОПУБЛИКОВАНИЕ
Приказ Министерства культурного наследия Псковской области от 30.09.2025 № 167-ОД
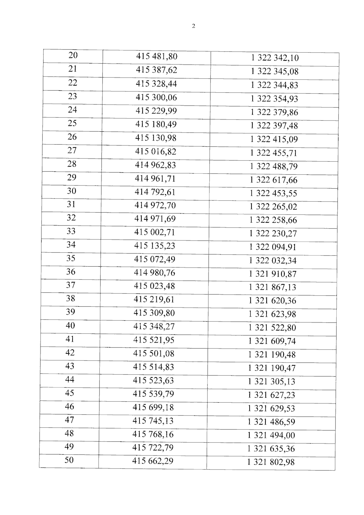
"Об утверждении границ территории объекта культурного наследия регионального значения "Усадьба Львовых", XIX в., расположенного по адресу: Псковская область, Новоржевский район, д. Алтун, Вехнянская волость"
(Зарегистрирован 30.09.2025 № 2371)
Номер опубликования: 6001202510070005
Дата опубликования: 07.10.2025
Страница №9 из 16:
Увеличить