Приказ Министерства природных ресурсов и экологии Псковской области от 18.11.2025 № 207
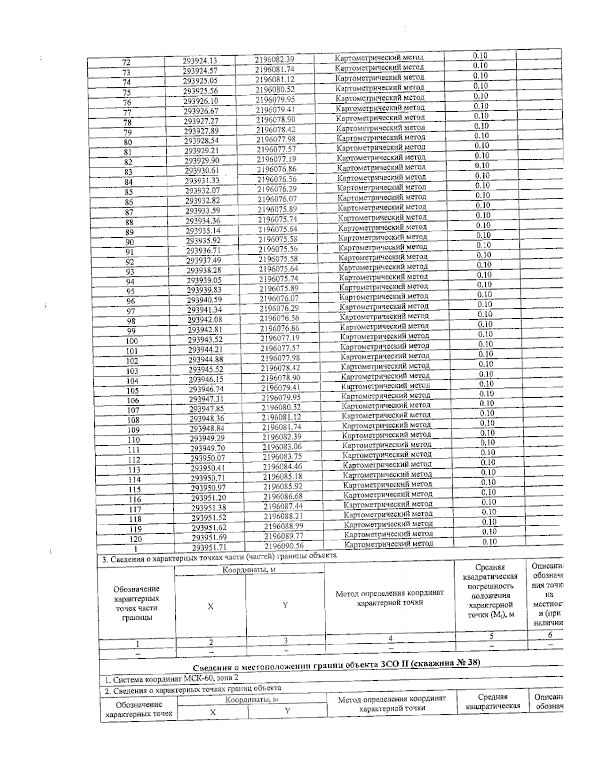
"О внесении изменений в приказ Государственного комитета Псковской области по природопользованию и охране окружающей среды от 07.05.2018 № 332 "Об утверждении Проекта зон санитарной охраны водозабора (скважина № 38) на территории ООО "Великолукский свиноводческий комплекс", расположенного в Невельском районе Псковской области на участке № 20"
(Зарегистрирован 20.11.2025 № 2482)
"О внесении изменений в приказ Государственного комитета Псковской области по природопользованию и охране окружающей среды от 07.05.2018 № 332 "Об утверждении Проекта зон санитарной охраны водозабора (скважина № 38) на территории ООО "Великолукский свиноводческий комплекс", расположенного в Невельском районе Псковской области на участке № 20"
(Зарегистрирован 20.11.2025 № 2482)
Номер опубликования: 6001202511240007
Дата опубликования:
24.11.2025
