Официальное опубликование правовых актов
ОФИЦИАЛЬНОЕ ОПУБЛИКОВАНИЕ
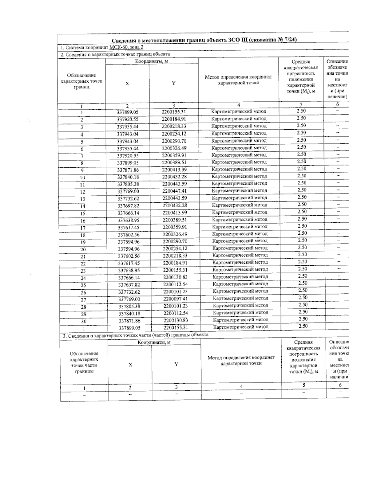
Приказ Министерства природных ресурсов и экологии Псковской области от 16.12.2025 № 298
"Об установлении зон санитарной охраны источника питьевого и хозяйственно-бытового водоснабжения"
(Зарегистрирован 17.12.2025 № 2666)
Номер опубликования: 6001202512220060
Дата опубликования: 22.12.2025
Страница №8 из 8:
Увеличить