Официальное опубликование правовых актов
ОФИЦИАЛЬНОЕ ОПУБЛИКОВАНИЕ
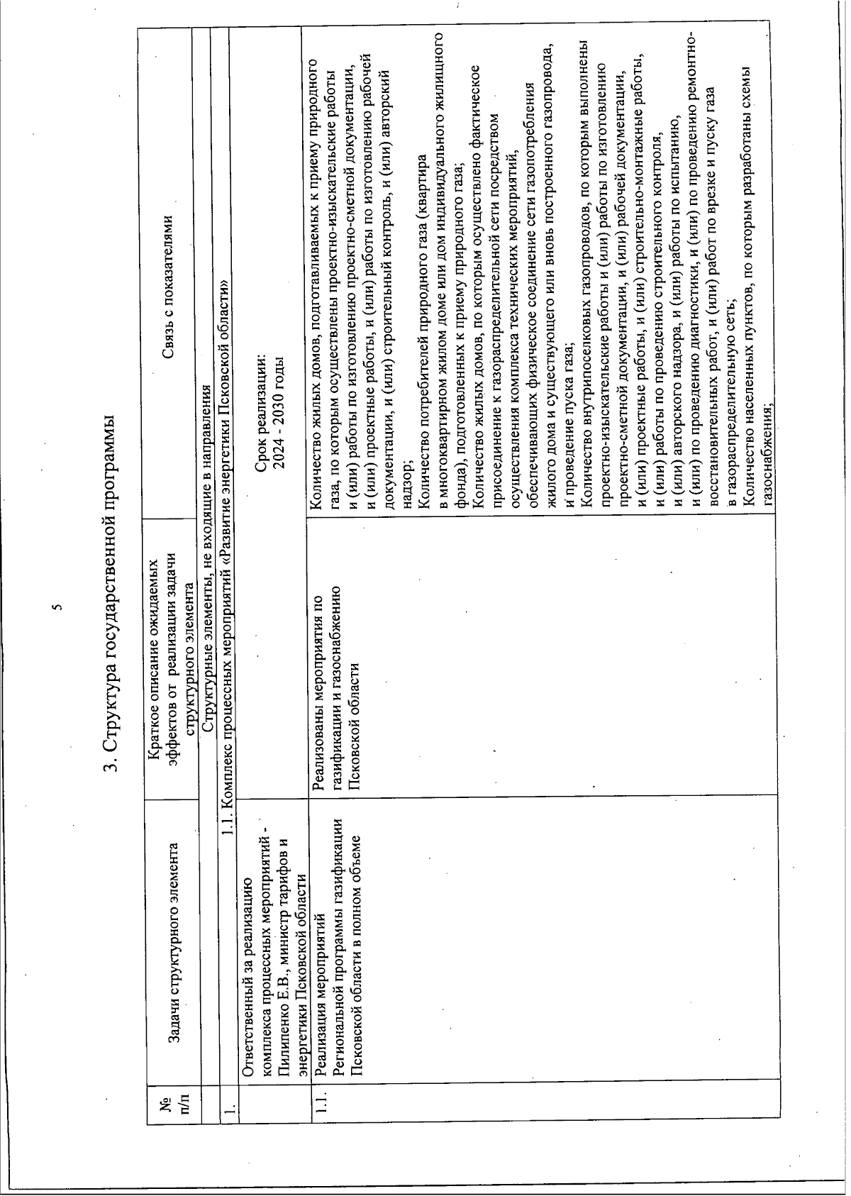
Приказ Министерства тарифов и энергетики Псковской области от 28.01.2026 № 11
"О внесении изменений в детальный паспорт государственной программы Псковской области "Развитие энергетики"
(Зарегистрирован 29.01.2026 № 2863)
Номер опубликования: 6001202602050006
Дата опубликования: 05.02.2026
Страница №6 из 25:
Увеличить