Официальное опубликование правовых актов
ОФИЦИАЛЬНОЕ ОПУБЛИКОВАНИЕ
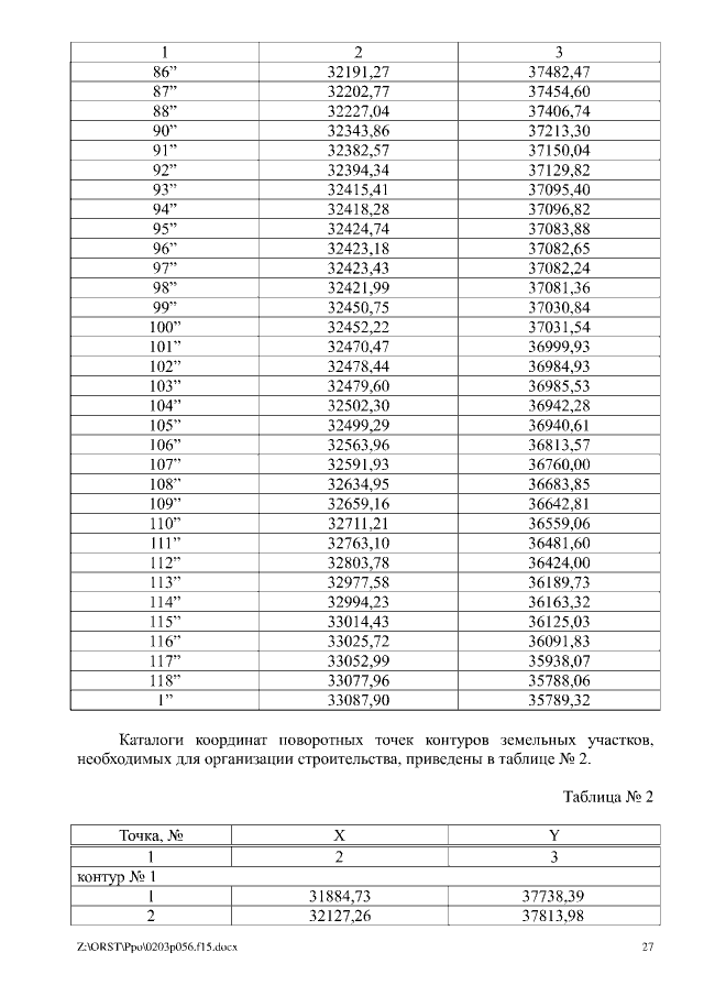
Постановление Правительства Ростовской области от 03.02.2015 № 56
"Об утверждении основной части проекта планировки территории размещения объекта федерального значения "Строительство перемычки Ду-600 мм между водоводом "Ростов – Батайск" и дюкером через р. Дон в створе пер. Державинский, г. Ростов-на-Дону"
Номер опубликования: 6100201502040002
Дата опубликования: 04.02.2015
Страница №27 из 38:
Увеличить