Официальное опубликование правовых актов
ОФИЦИАЛЬНОЕ ОПУБЛИКОВАНИЕ
Постановление Правительства Ростовской области от 25.12.2015 № 197
"О внесении изменения в постановление Правительства Ростовской области от 25.09.2013 № 587"
Номер опубликования: 6100201512310002
Дата опубликования: 31.12.2015
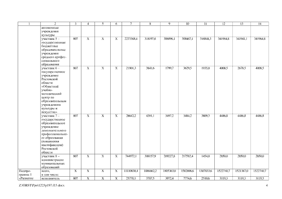
Страница №4 из 11:
Увеличить