Официальное опубликование правовых актов
ОФИЦИАЛЬНОЕ ОПУБЛИКОВАНИЕ
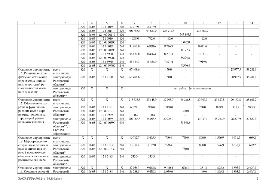
Постановление Правительства Ростовской области от 24.03.2016 № 196
"О внесении изменений в постановление Правительства Ростовской области от 25.09.2013 № 595"
Номер опубликования: 6100201603300021
Дата опубликования: 30.03.2016
Страница №7 из 21:
Увеличить