Официальное опубликование правовых актов
ОФИЦИАЛЬНОЕ ОПУБЛИКОВАНИЕ
Постановление Правительства Ростовской области от 03.08.2016 № 561
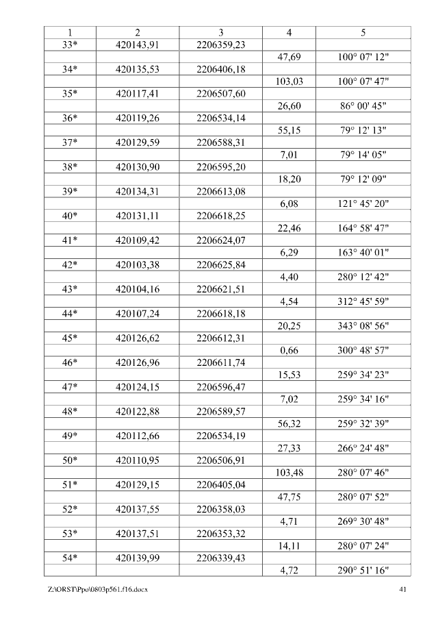
"Об утверждении проекта межевания территории размещения объекта инфраструктуры федерального значения "Строительство ПС 110/10 кВ "Спортивная" с заходами ЛЭП 110 кВ и реконструкцией прилегающей сети, г. Ростов-на-Дону"
Номер опубликования: 6100201608080006
Дата опубликования: 08.08.2016
Страница №41 из 48:
Увеличить