Официальное опубликование правовых актов
ОФИЦИАЛЬНОЕ ОПУБЛИКОВАНИЕ
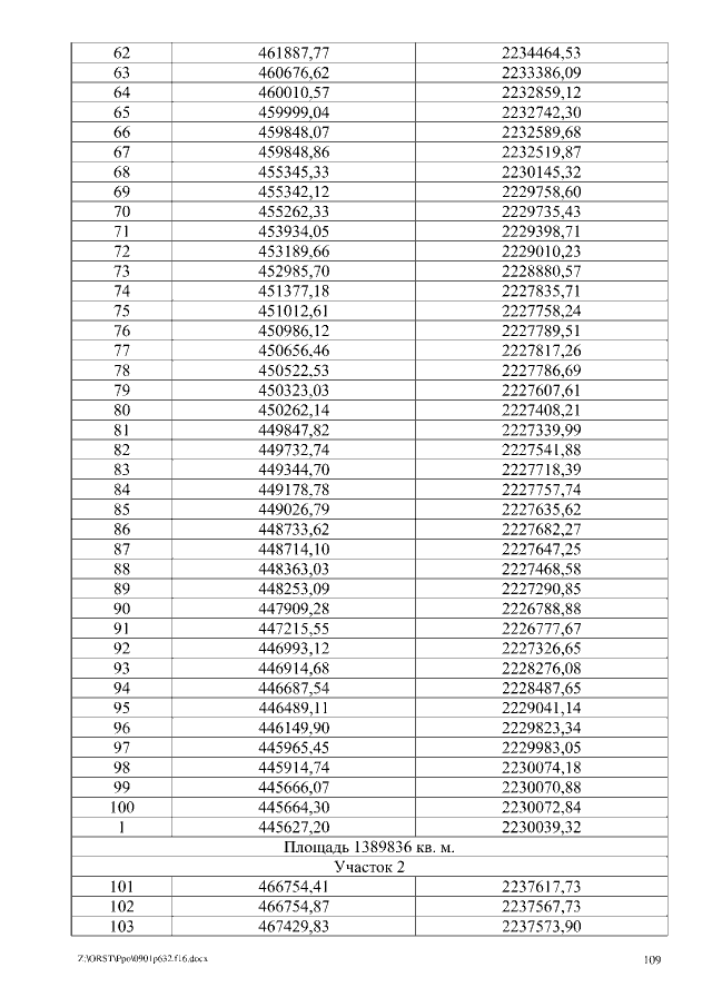
Постановление Правительства Ростовской области от 01.09.2016 № 632
"Об утверждении проекта межевания территории размещения линейного объекта "Реконструкция ГРС Шахты-2 в Ростовском УМГ"
Номер опубликования: 6100201609060015
Дата опубликования: 06.09.2016
Страница №109 из 117:
Увеличить