Официальное опубликование правовых актов
ОФИЦИАЛЬНОЕ ОПУБЛИКОВАНИЕ
Постановление Правительства Ростовской области от 08.07.2024 № 472
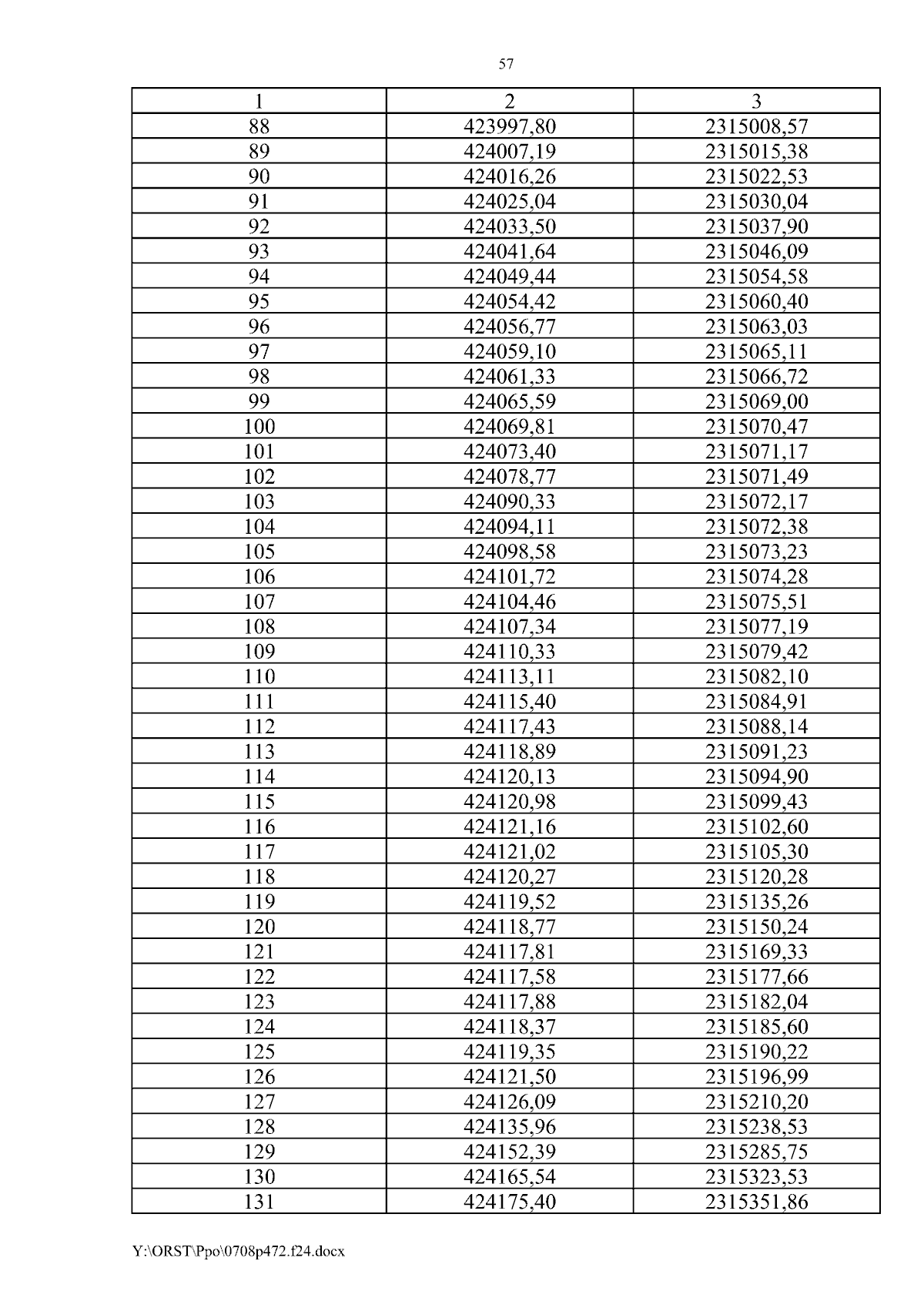
"Об утверждении проекта планировки и проекта межевания территории размещения линейного объекта "Реконструкция Донского магистрального канала (2-ая очередь, III этап реконструкции), Мартыновский район, Волгодонской район, Ростовская область"
Номер опубликования: 6100202407100017
Дата опубликования: 10.07.2024
Страница №57 из 116:
Увеличить