Официальное опубликование правовых актов
ОФИЦИАЛЬНОЕ ОПУБЛИКОВАНИЕ
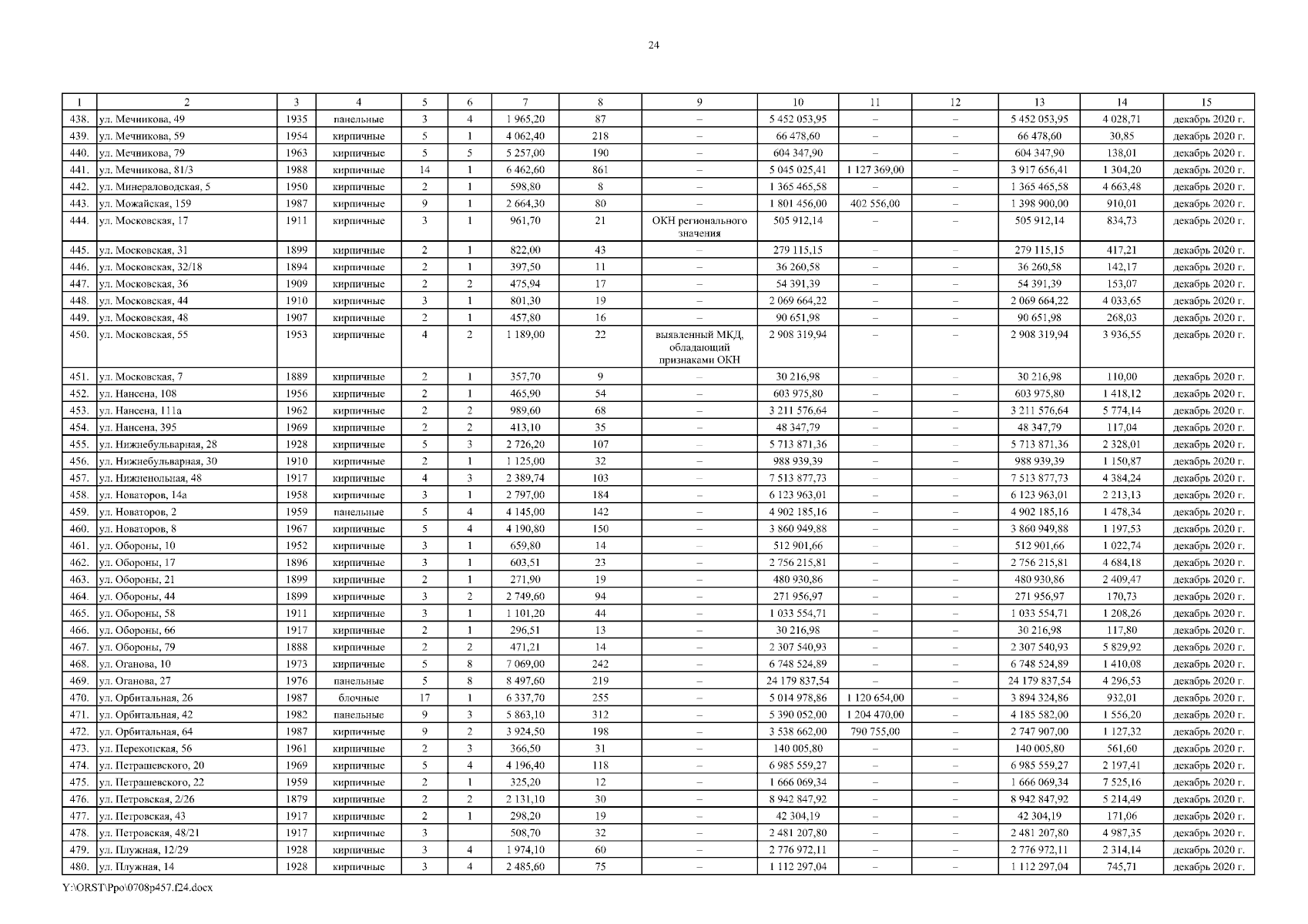
Постановление Правительства Ростовской области от 08.07.2024 № 457
"О внесении изменений в постановление Правительства Ростовской области от 16.10.2019 № 731"
Номер опубликования: 6100202407100019
Дата опубликования: 10.07.2024
Страница №24 из 105:
Увеличить