Официальное опубликование правовых актов
ОФИЦИАЛЬНОЕ ОПУБЛИКОВАНИЕ
Постановление Правительства Ростовской области от 28.10.2024 № 748
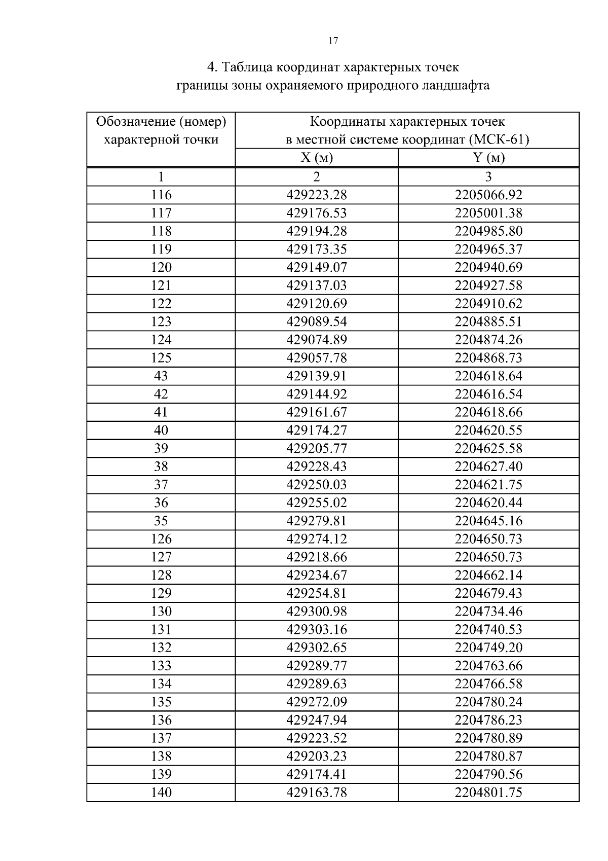
"Об установлении зон охраны объекта культурного наследия федерального значения (ансамбля) "Мемориальный комплекс "Сурб-Хач", связанный с жизнью деятелей армянской культуры М.Налбандяна, Р.Патканяна, А.Аламдаряна" и утверждении особых режимов использования земель и требований к градостроительным регламентам в границах территорий данных зон"
Номер опубликования: 6100202410300002
Дата опубликования: 30.10.2024
Страница №17 из 27:
Увеличить