Официальное опубликование правовых актов
ОФИЦИАЛЬНОЕ ОПУБЛИКОВАНИЕ
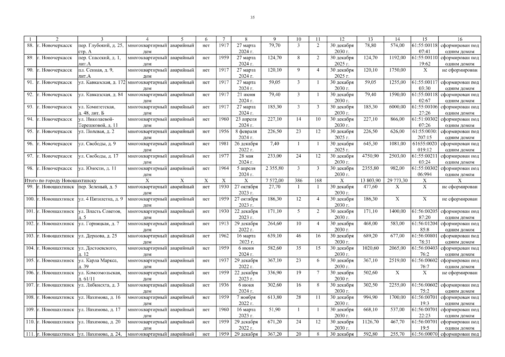
Постановление Правительства Ростовской области от 28.10.2024 № 750
"Об утверждении областной адресной программы "Переселение граждан из многоквартирных домов, а также домов блокированной застройки, признанных аварийными после 1 января 2022 г., подлежащих сносу или реконструкции"
Номер опубликования: 6100202410300005
Дата опубликования: 30.10.2024
Страница №35 из 46:
Увеличить