Официальное опубликование правовых актов
ОФИЦИАЛЬНОЕ ОПУБЛИКОВАНИЕ
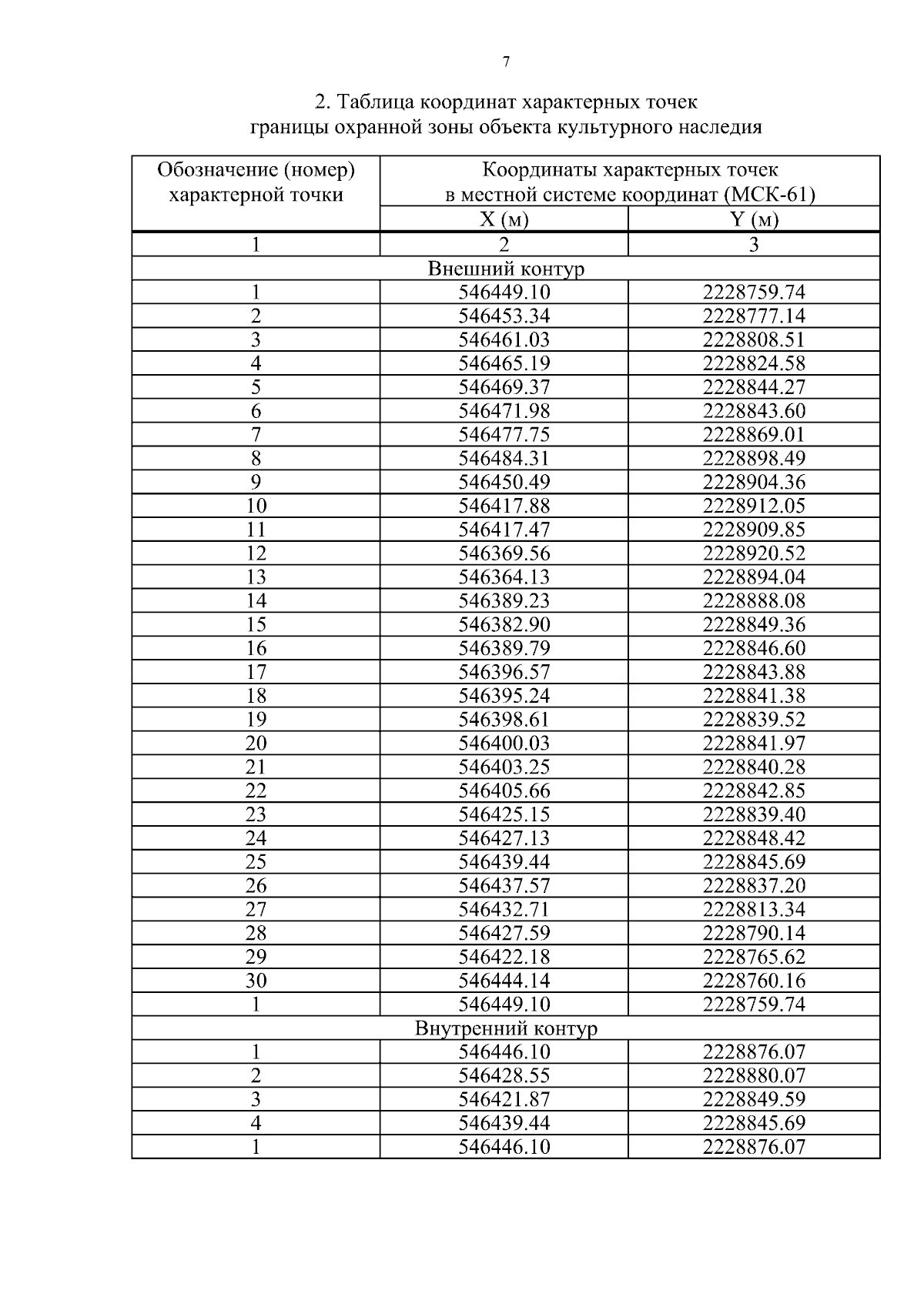
Постановление Правительства Ростовской области от 13.11.2024 № 7
"Об установлении зон охраны объекта культурного наследия регионального значения "Гундоровское 2-х классное приходское училище" и утверждении требований к градостроительным регламентам в границах территорий данных зон"
Номер опубликования: 6100202411150008
Дата опубликования: 15.11.2024
Страница №7 из 13:
Увеличить