Официальное опубликование правовых актов
ОФИЦИАЛЬНОЕ ОПУБЛИКОВАНИЕ
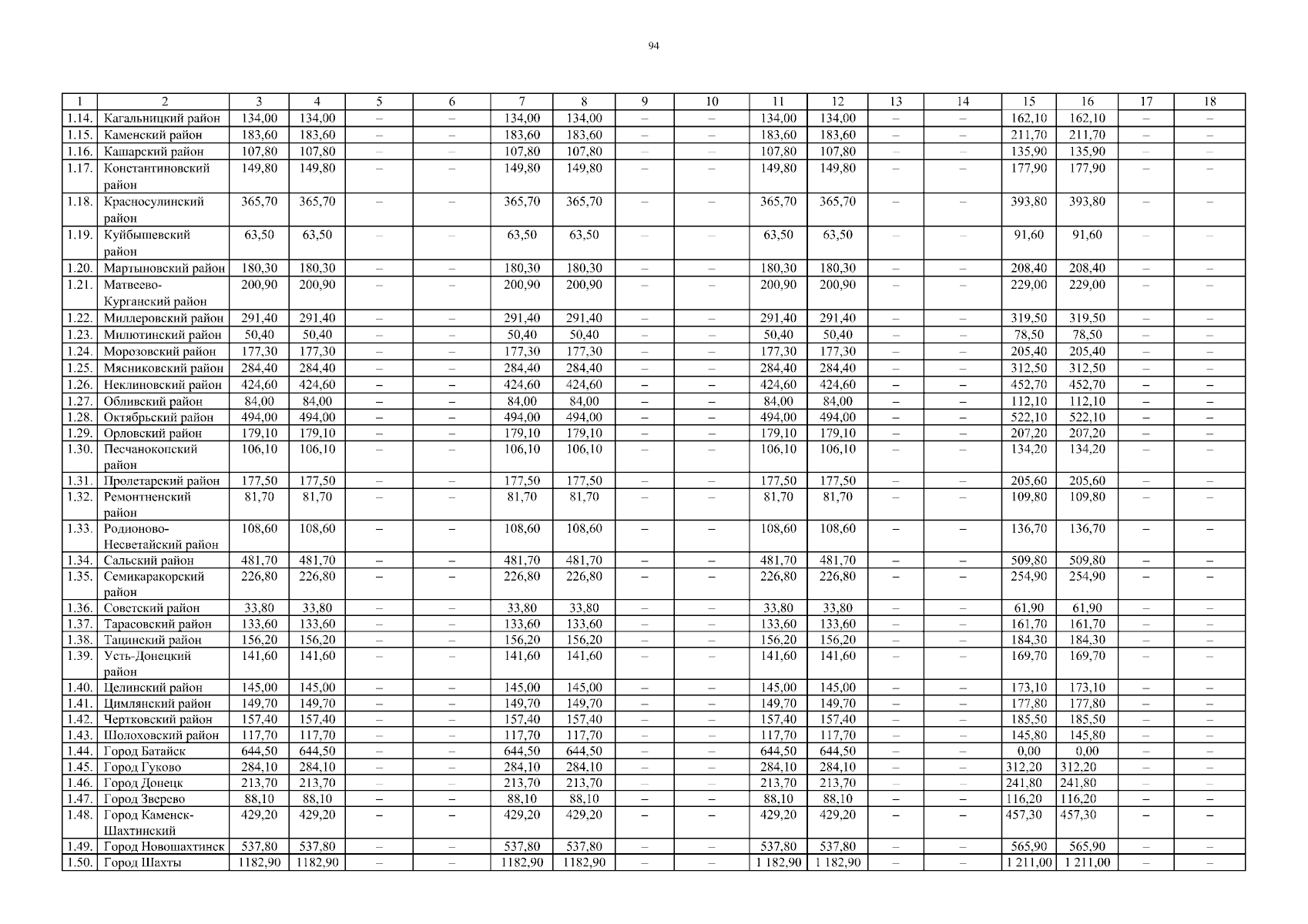
Постановление Правительства Ростовской области от 31.03.2025 № 249
"О внесении изменений в постановление Правительства Ростовской области от 19.10.2020 № 100"
Номер опубликования: 6100202504020018
Дата опубликования: 02.04.2025
Страница №94 из 103:
Увеличить