Официальное опубликование правовых актов
ОФИЦИАЛЬНОЕ ОПУБЛИКОВАНИЕ
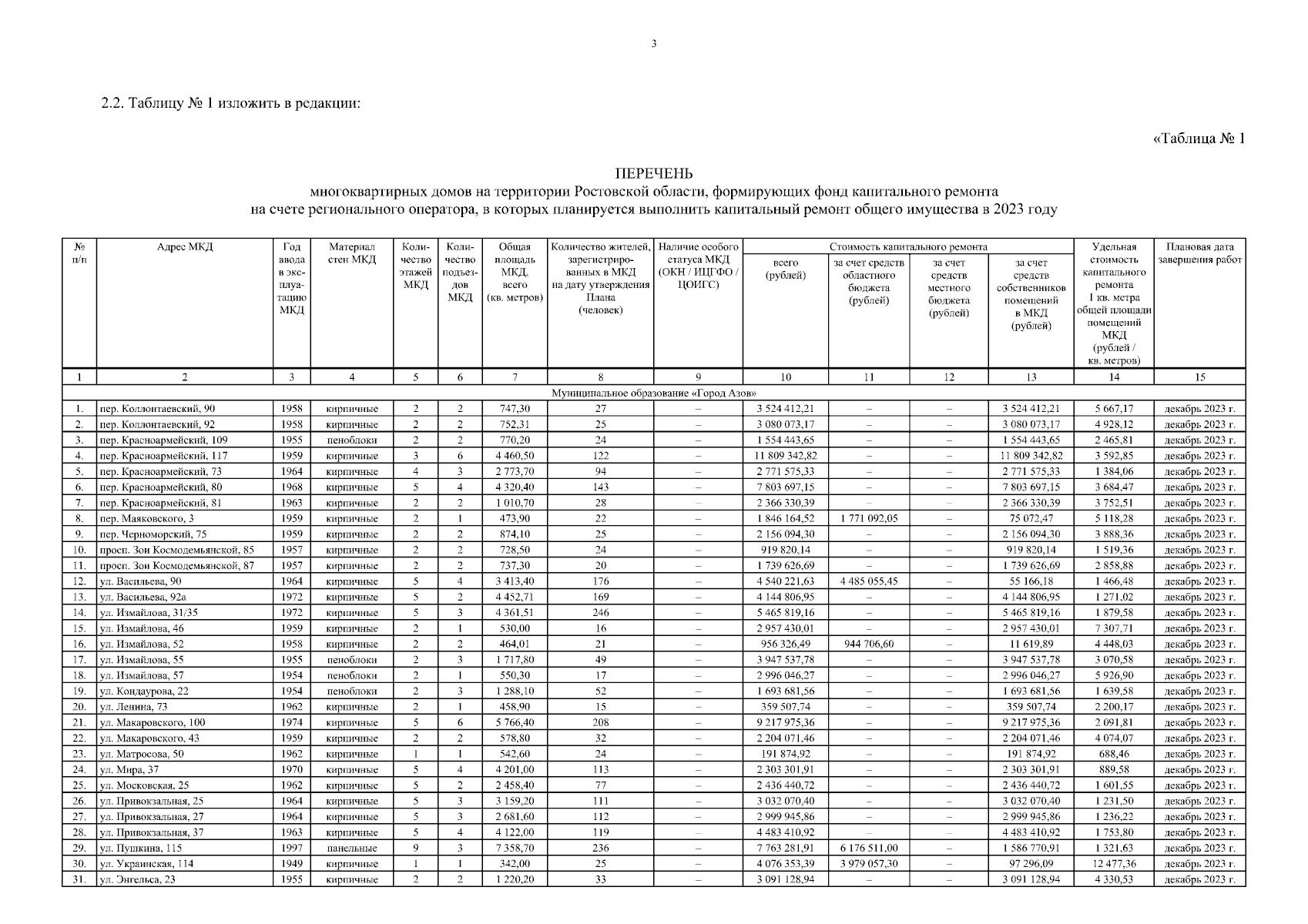
Постановление Правительства Ростовской области от 01.12.2025 № 168
"О внесении изменений в постановление Правительства Ростовской области от 29.12.2022 № 1198"
Номер опубликования: 6100202512020026
Дата опубликования: 02.12.2025
Страница №3 из 95:
Увеличить