Официальное опубликование правовых актов
ОФИЦИАЛЬНОЕ ОПУБЛИКОВАНИЕ
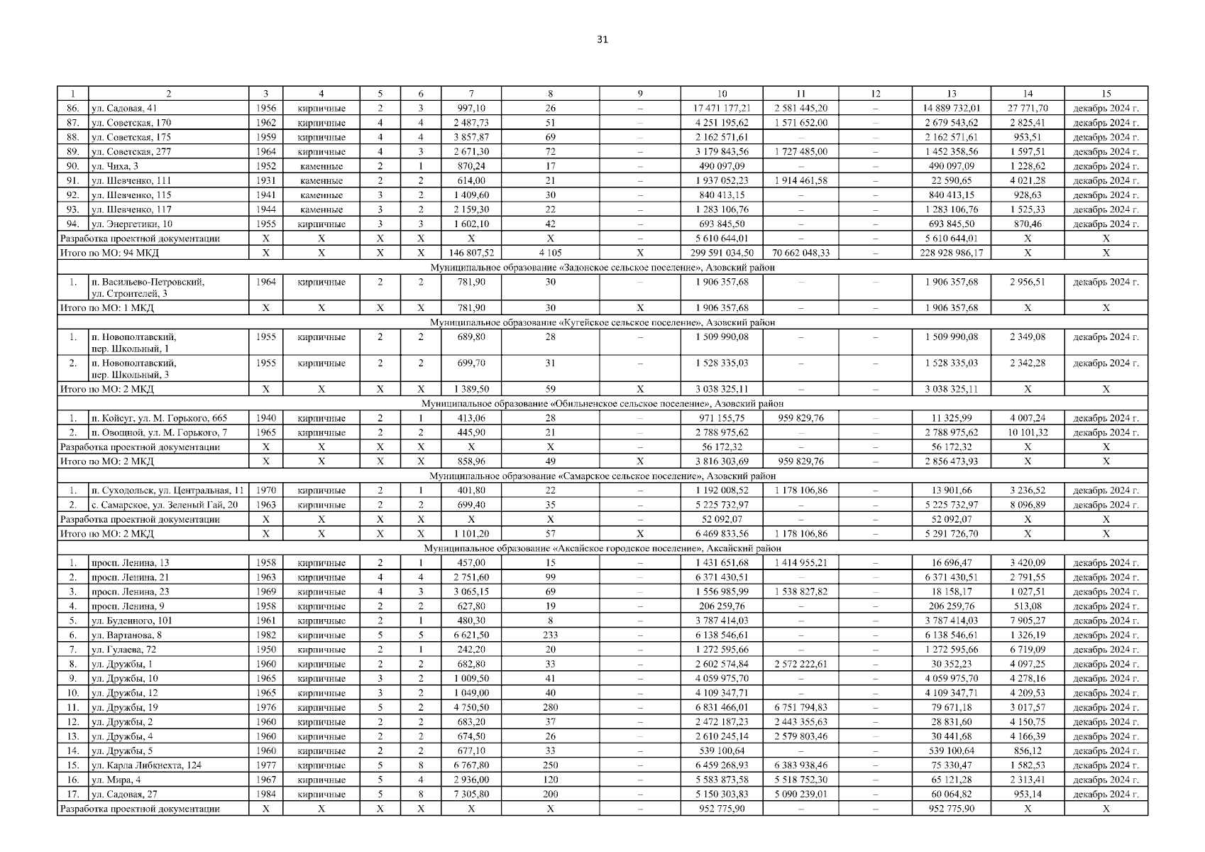
Постановление Правительства Ростовской области от 02.12.2025 № 183
"О внесении изменений в постановление Правительства Ростовской области от 22.12.2023 № 947"
Номер опубликования: 6100202512030003
Дата опубликования: 03.12.2025
Страница №31 из 100:
Увеличить