Официальное опубликование правовых актов
ОФИЦИАЛЬНОЕ ОПУБЛИКОВАНИЕ
Постановление Правительства Ростовской области от 01.12.2025 № 175
"О внесении изменений в постановление Правительства Ростовской области от 16.10.2019 № 731"
Номер опубликования: 6100202512030010
Дата опубликования: 03.12.2025
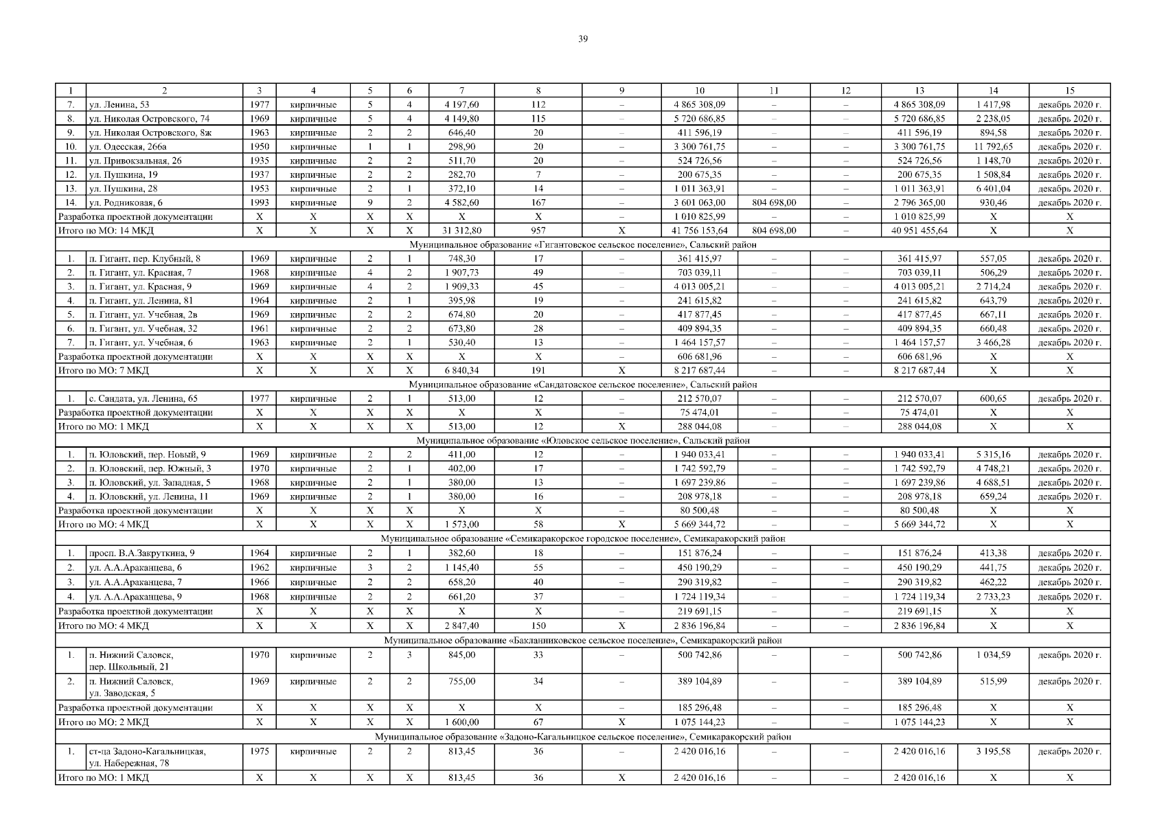
Страница №39 из 98:
Увеличить