Официальное опубликование правовых актов
ОФИЦИАЛЬНОЕ ОПУБЛИКОВАНИЕ
Постановление Правительства Ростовской области от 04.12.2025 № 187
"О внесении изменений в постановление Правительства Ростовской области от 17.10.2018 № 650"
Номер опубликования: 6100202512050001
Дата опубликования: 05.12.2025
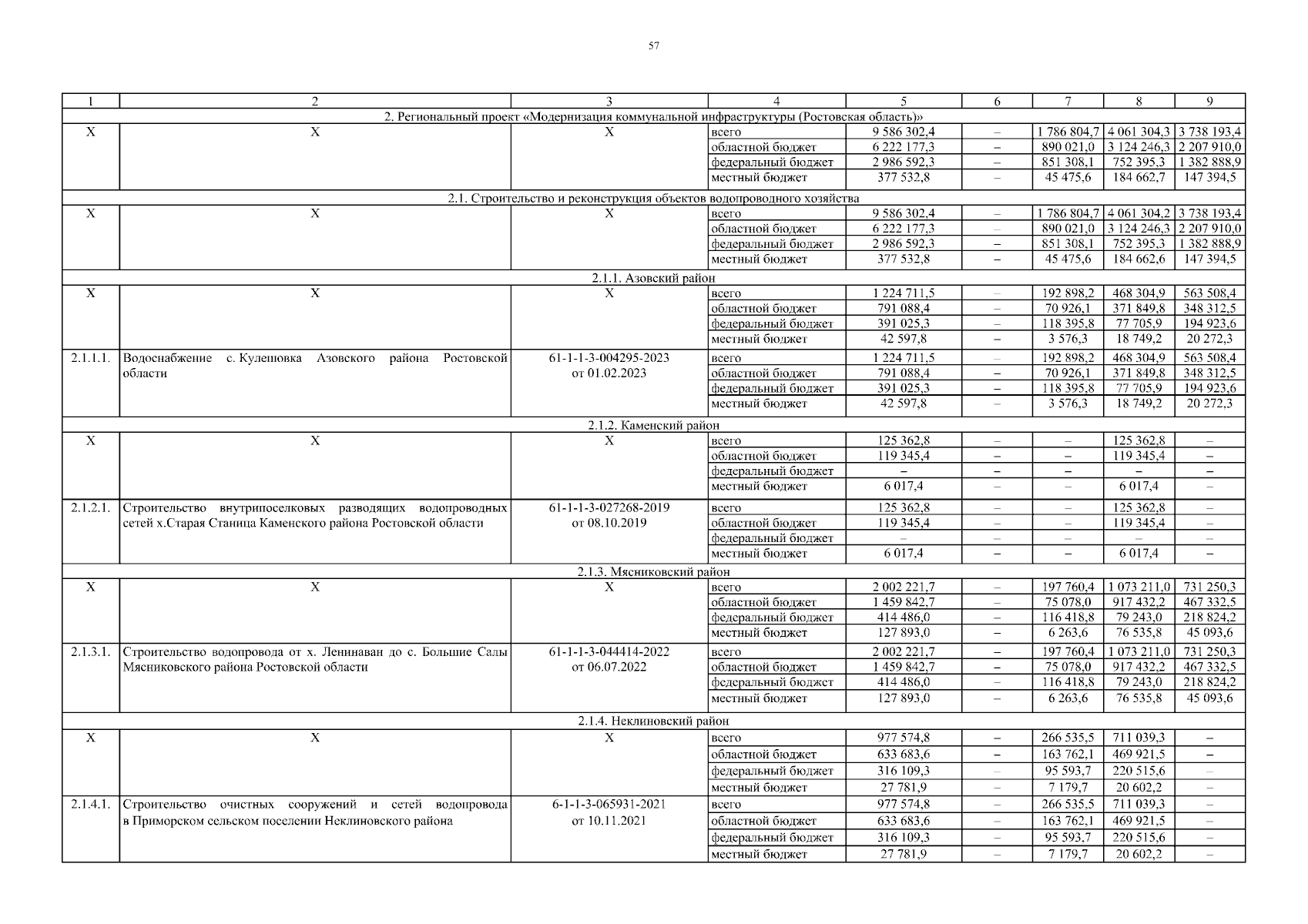
Страница №57 из 84:
Увеличить