Официальное опубликование правовых актов
ОФИЦИАЛЬНОЕ ОПУБЛИКОВАНИЕ
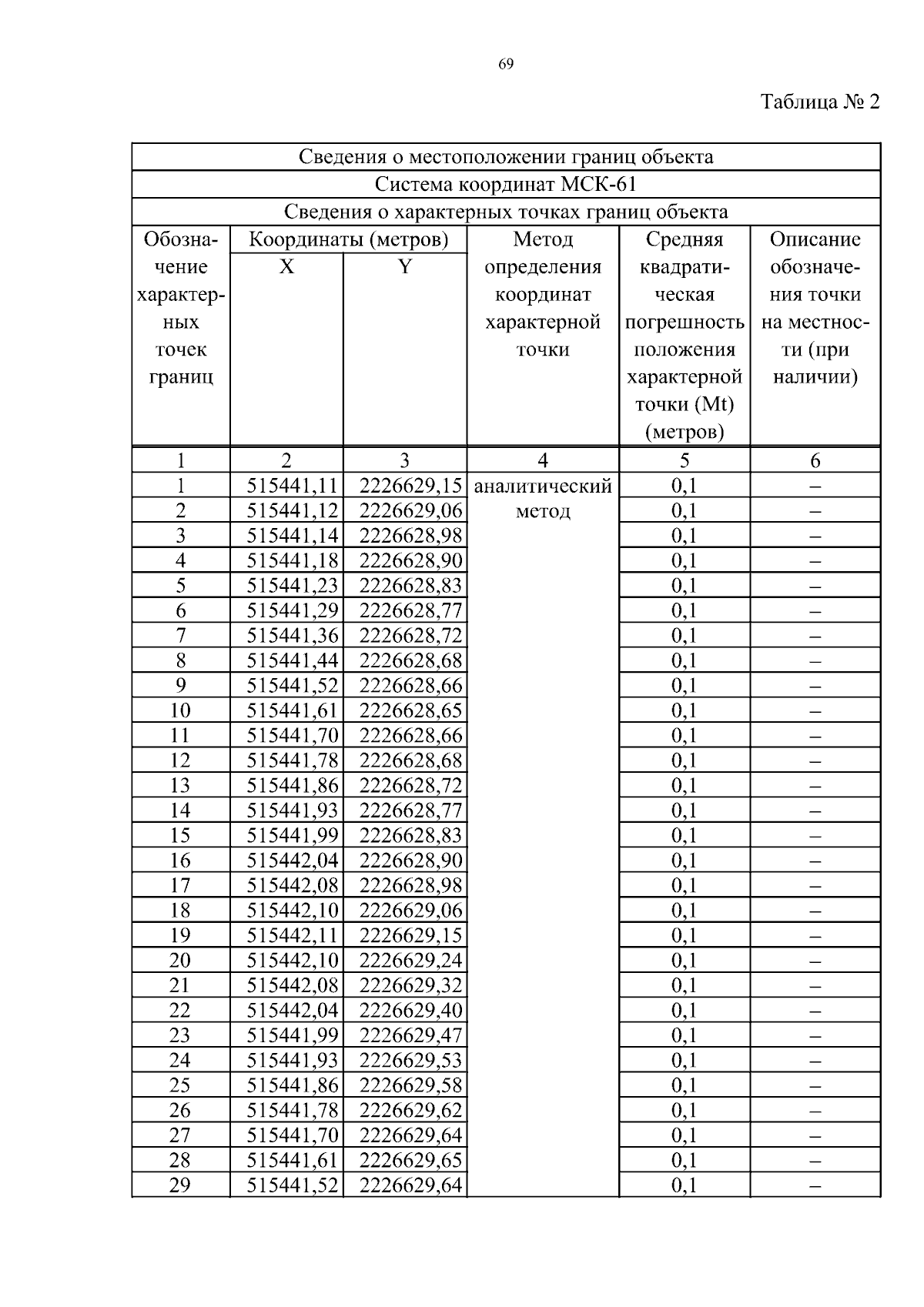
Постановление Правительства Ростовской области от 09.12.2025 № 213
"Об установлении публичного сервитута"
Номер опубликования: 6100202512100023
Дата опубликования: 10.12.2025
Страница №69 из 117:
Увеличить