Официальное опубликование правовых актов
ОФИЦИАЛЬНОЕ ОПУБЛИКОВАНИЕ
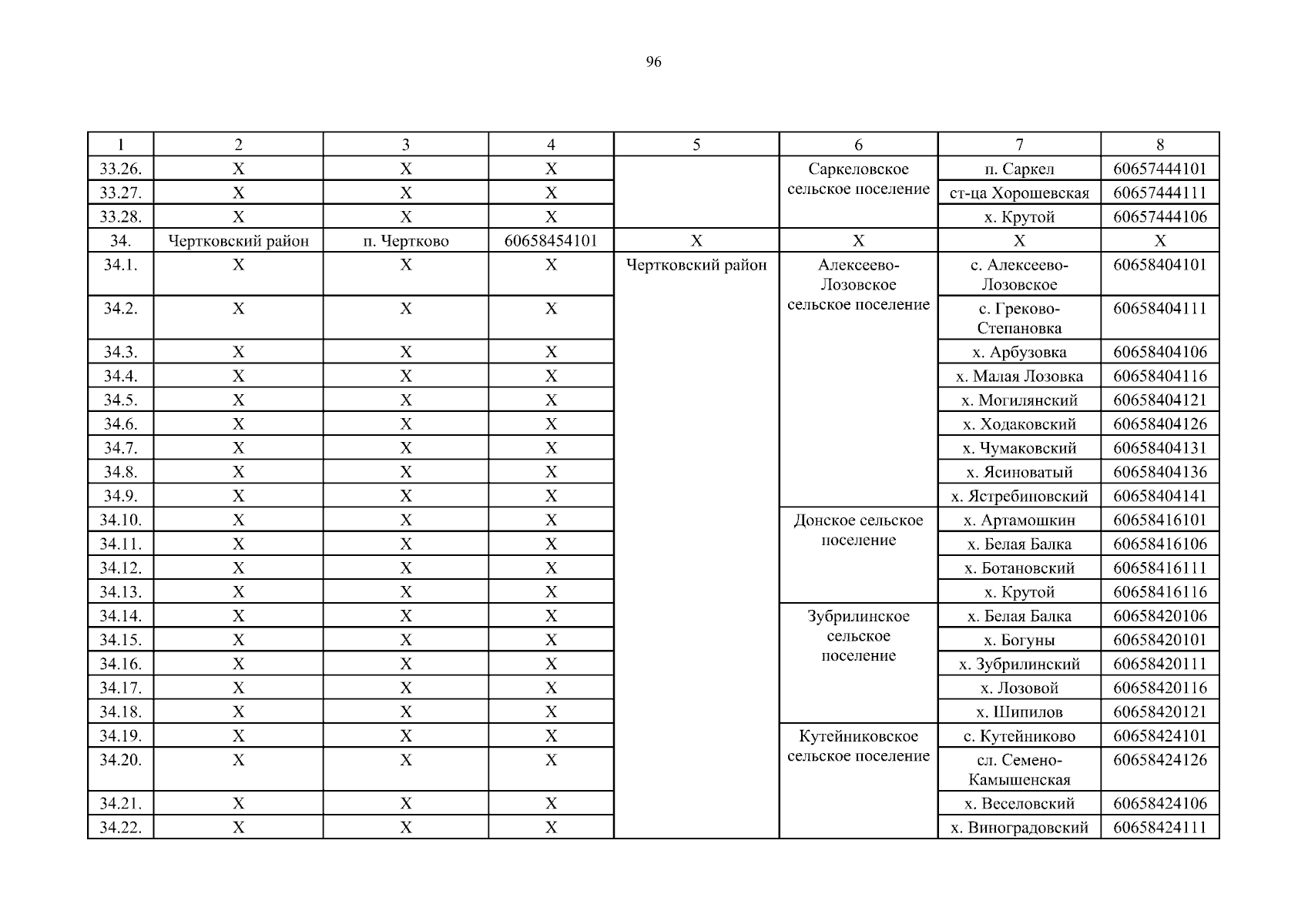
Постановление Правительства Ростовской области от 10.12.2025 № 220
"О внесении изменений в постановление Правительства Ростовской области от 24.10.2019 № 748"
Номер опубликования: 6100202512110001
Дата опубликования: 11.12.2025
Страница №96 из 101:
Увеличить