Официальное опубликование правовых актов
ОФИЦИАЛЬНОЕ ОПУБЛИКОВАНИЕ
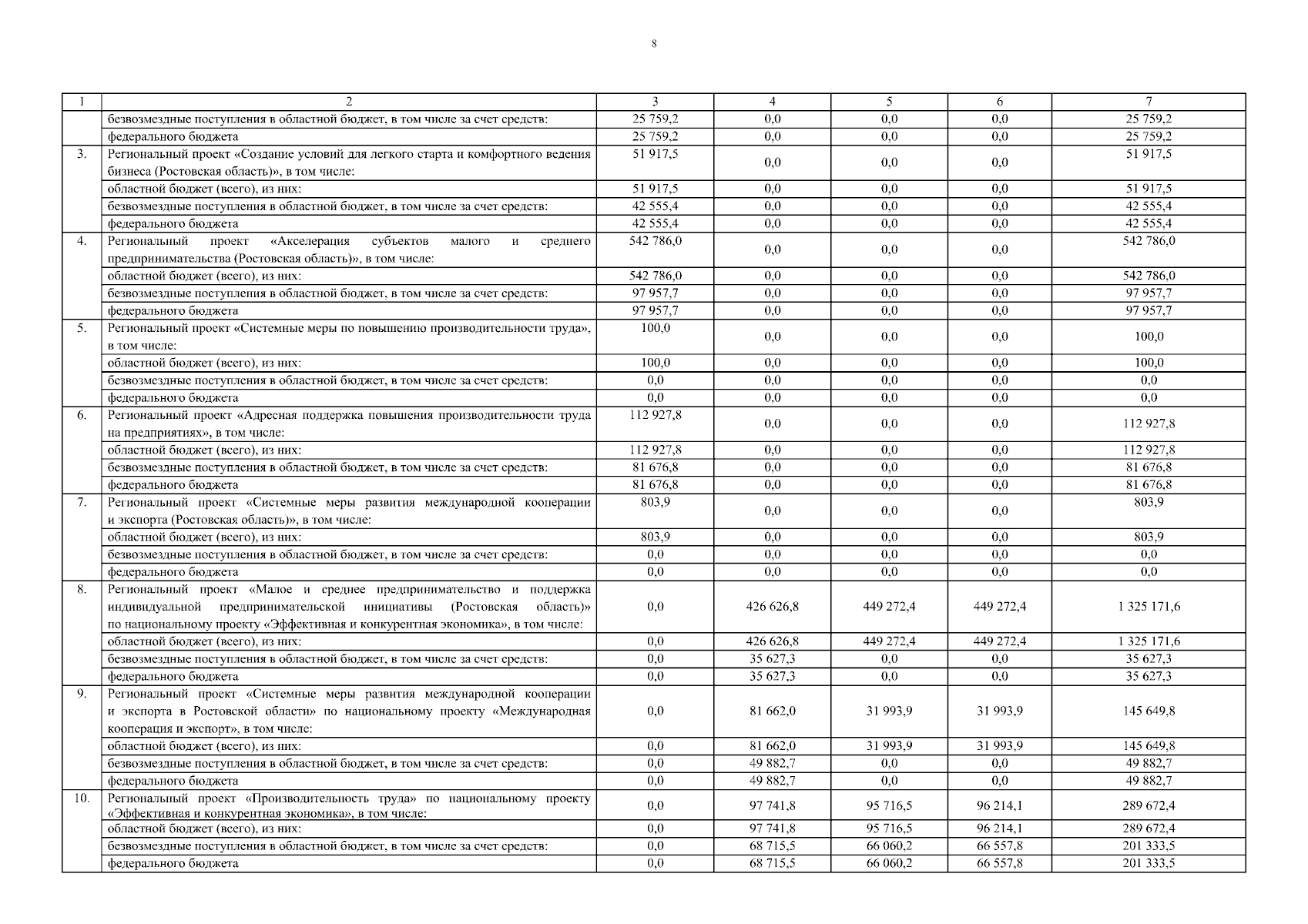
Постановление Правительства Ростовской области от 18.12.2025 № 263
"О внесении изменений в постановление Правительства Ростовской области от 15.10.2018 № 637"
Номер опубликования: 6100202512230031
Дата опубликования: 23.12.2025
Страница №8 из 51:
Увеличить