Официальное опубликование правовых актов
ОФИЦИАЛЬНОЕ ОПУБЛИКОВАНИЕ
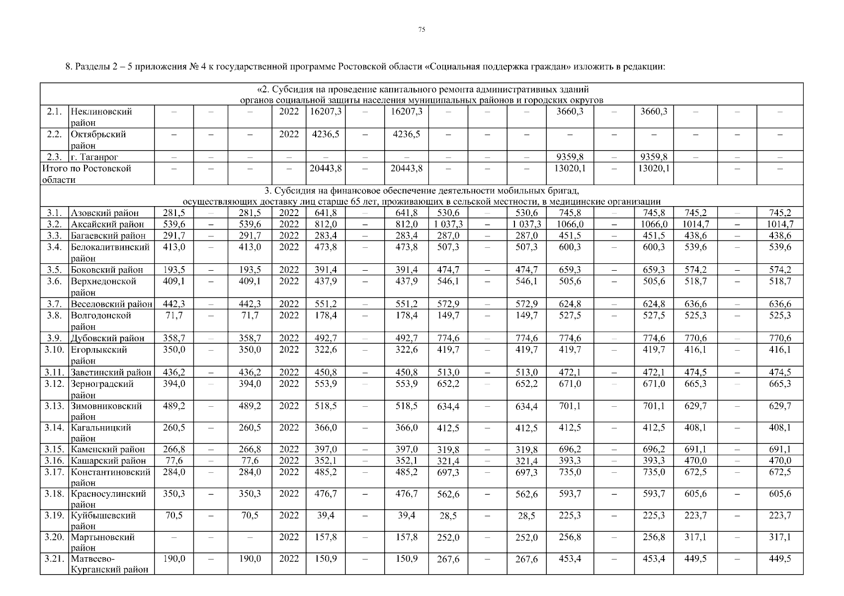
Постановление Правительства Ростовской области от 22.12.2025 № 272
"О внесении изменений в постановление Правительства Ростовской области от 17.10.2018 № 643"
Номер опубликования: 6100202512240007
Дата опубликования: 24.12.2025
Страница №75 из 77:
Увеличить