Официальное опубликование правовых актов
ОФИЦИАЛЬНОЕ ОПУБЛИКОВАНИЕ
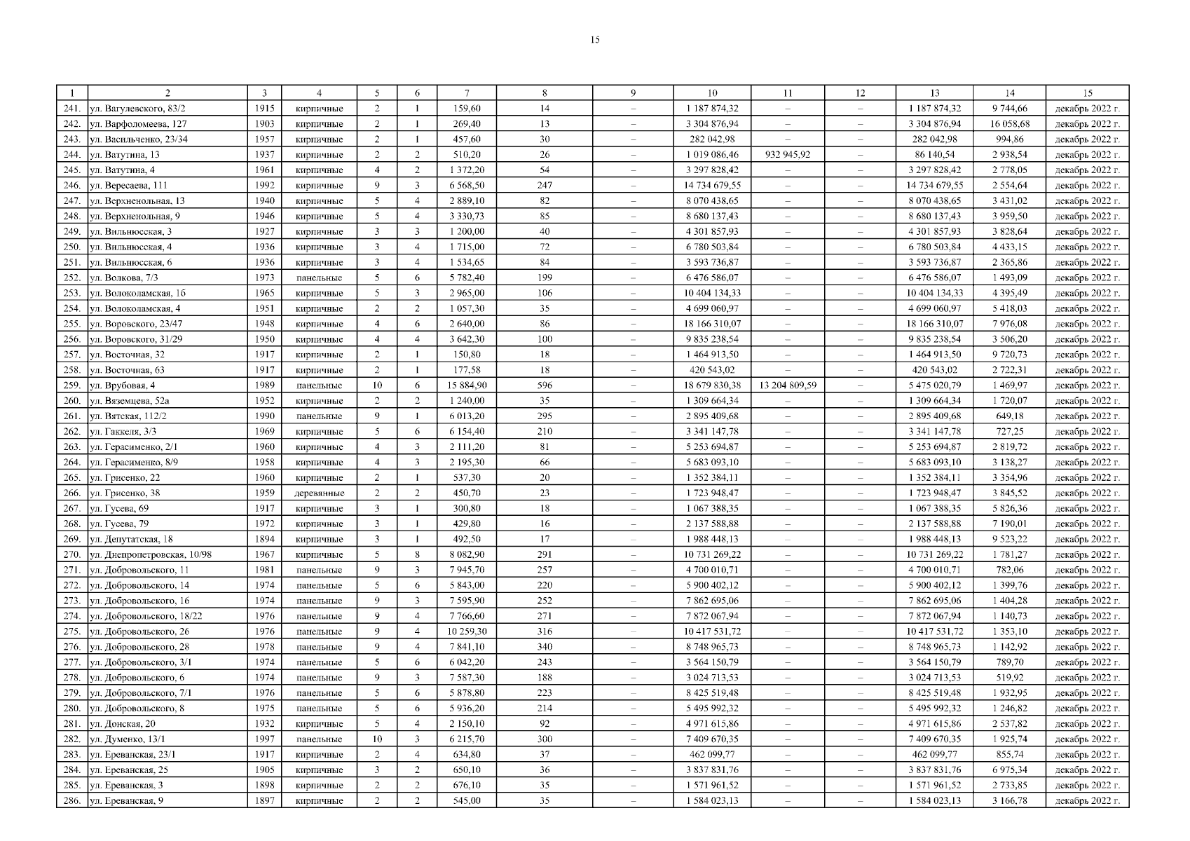
Постановление Правительства Ростовской области от 14.01.2026 № 14
"О внесении изменений в постановление Правительства Ростовской области от 30.12.2021 № 1148"
Номер опубликования: 6100202601140019
Дата опубликования: 14.01.2026
Страница №15 из 79:
Увеличить