Официальное опубликование правовых актов
ОФИЦИАЛЬНОЕ ОПУБЛИКОВАНИЕ
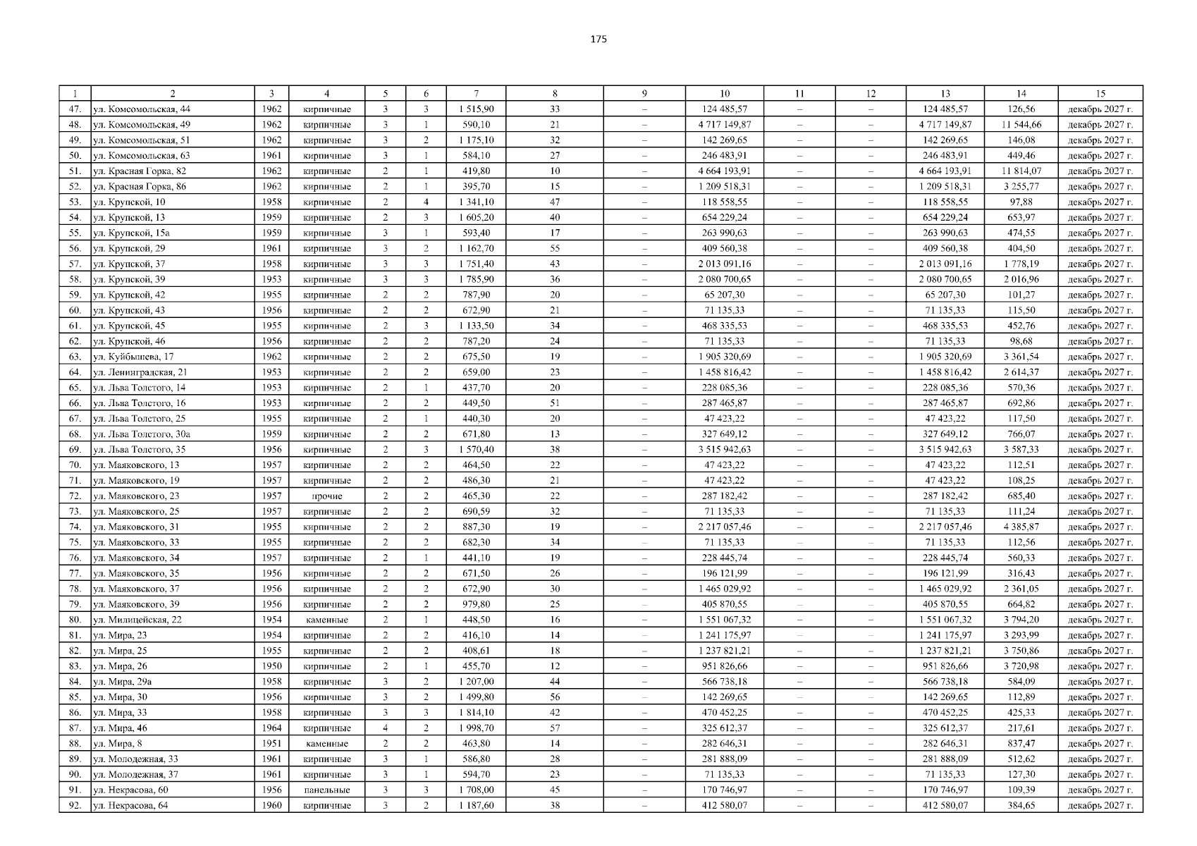
Постановление Правительства Ростовской области от 14.01.2026 № 19
"Об утверждении краткосрочного плана реализации Региональной программы по проведению капитального ремонта общего имущества в многоквартирных домах на территории Ростовской области на 2014 – 2049 годы на 2026 год и плановый период 2027 и 2028 годов"
Номер опубликования: 6100202601150002
Дата опубликования: 15.01.2026
Страница №175 из 419:
Увеличить