Официальное опубликование правовых актов
ОФИЦИАЛЬНОЕ ОПУБЛИКОВАНИЕ
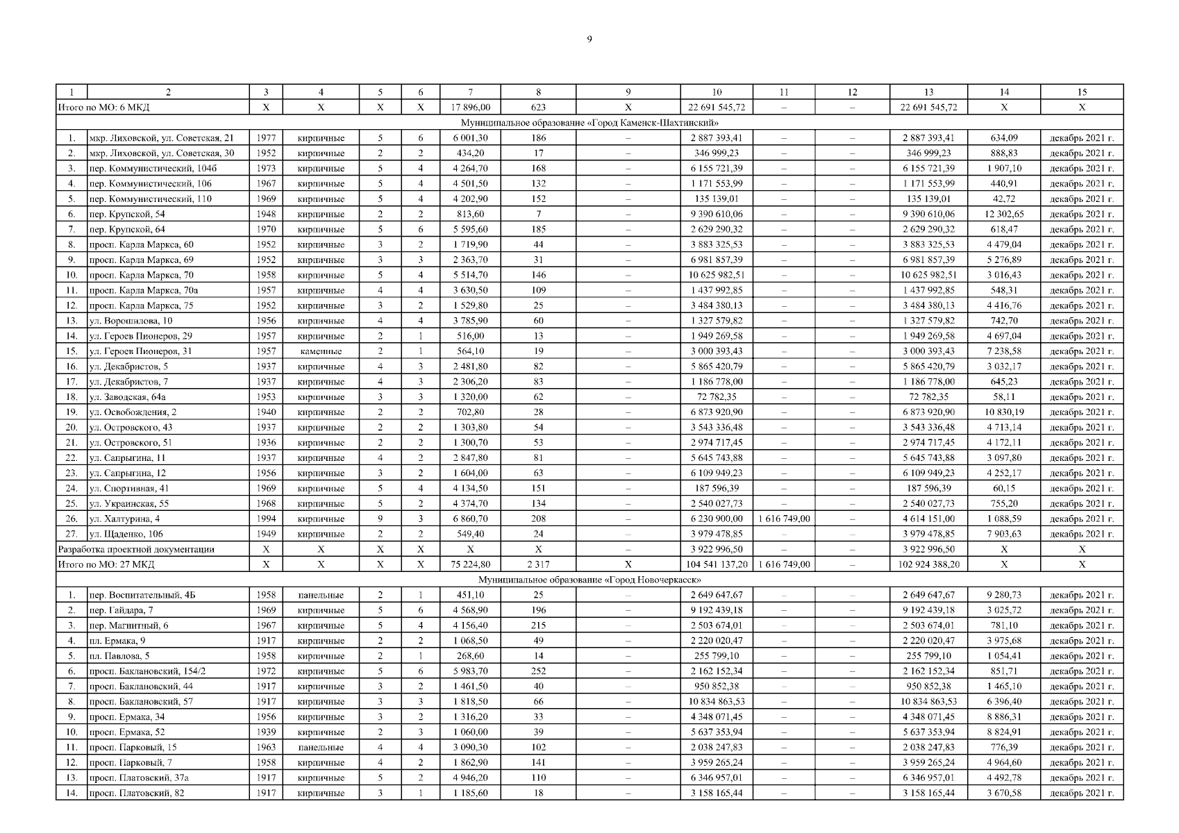
Постановление Правительства Ростовской области от 14.01.2026 № 20
"О внесении изменений в постановление Правительства Ростовской области от 30.12.2020 № 465"
Номер опубликования: 6100202601150004
Дата опубликования: 15.01.2026
Страница №9 из 88:
Увеличить