Официальное опубликование правовых актов
ОФИЦИАЛЬНОЕ ОПУБЛИКОВАНИЕ
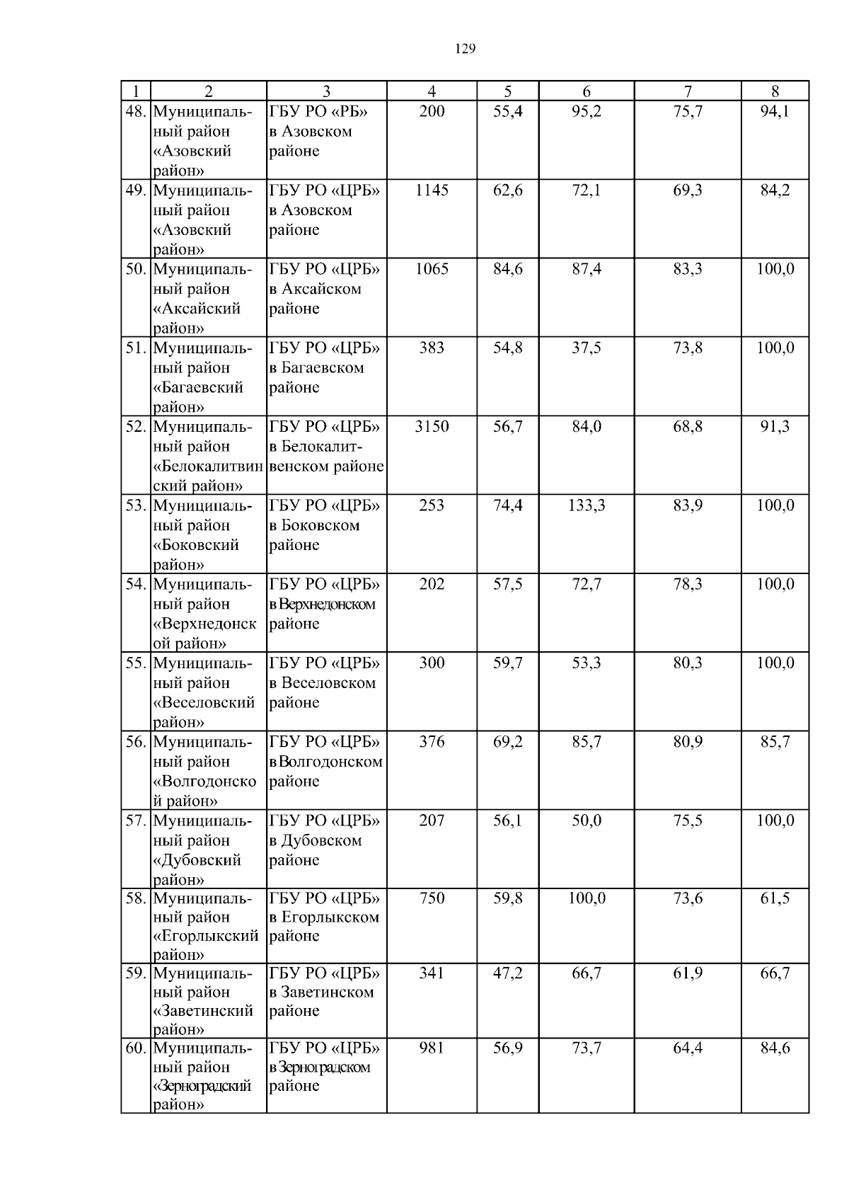
Постановление Правительства Ростовской области от 21.01.2026 № 45
"Об утверждении региональной программы "Охрана материнства и детства (Ростовская область)"
Номер опубликования: 6100202601230001
Дата опубликования: 23.01.2026
Страница №129 из 190:
Увеличить