Официальное опубликование правовых актов
ОФИЦИАЛЬНОЕ ОПУБЛИКОВАНИЕ
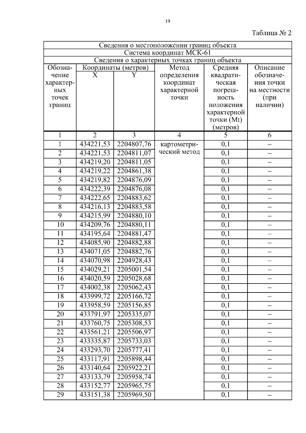
Постановление Правительства Ростовской области от 19.02.2026 № 132
"Об установлении публичного сервитута"
Номер опубликования: 6100202602190005
Дата опубликования: 19.02.2026
Страница №19 из 23:
Увеличить