Официальное опубликование правовых актов
ОФИЦИАЛЬНОЕ ОПУБЛИКОВАНИЕ
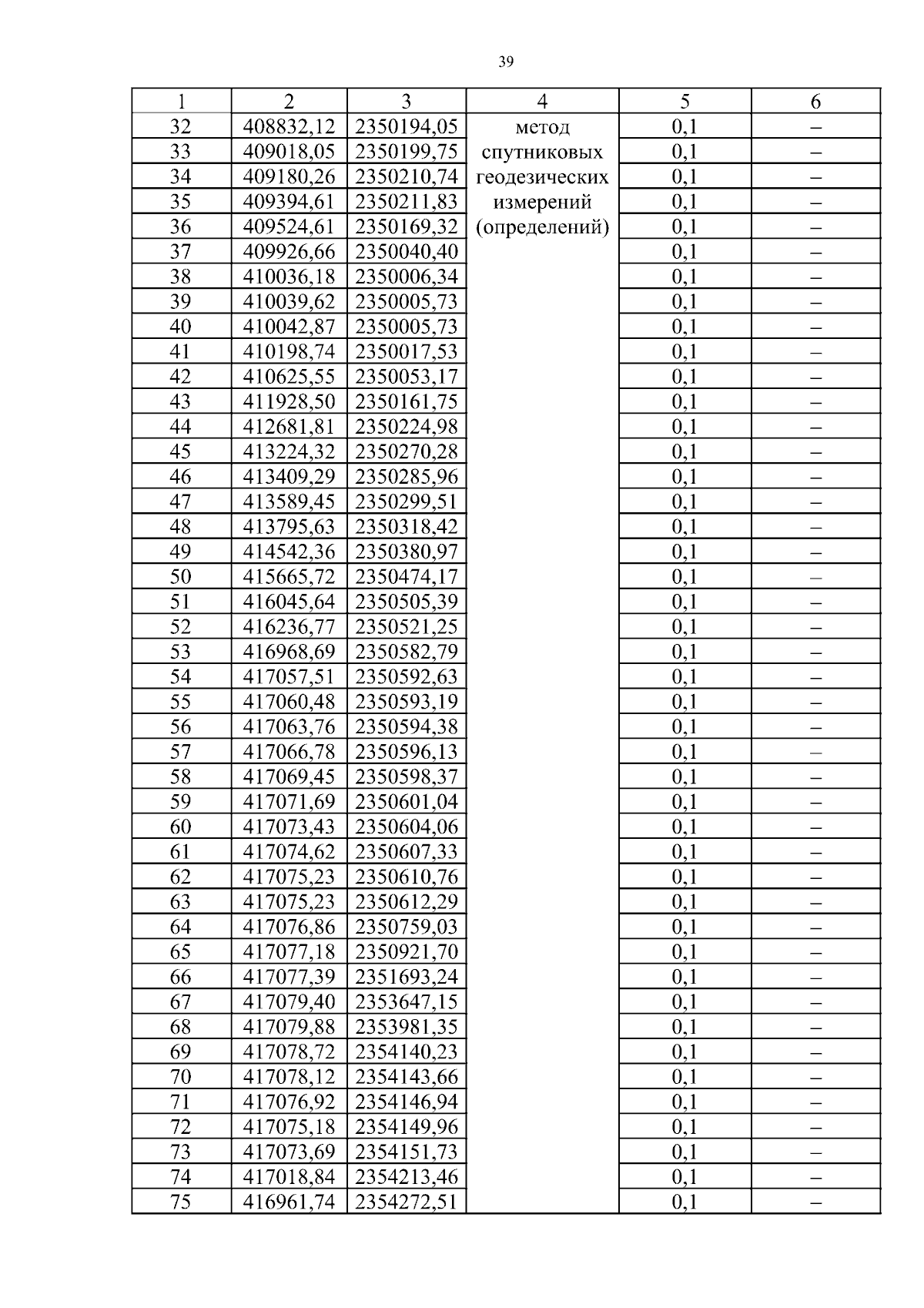
Постановление Правительства Ростовской области от 25.02.2026 № 147
"Об установлении публичного сервитута"
Номер опубликования: 6100202602270003
Дата опубликования: 27.02.2026
Страница №39 из 42:
Увеличить